Systems Quiz (CFA)
star
star
star
star
star
Last updated about 5 years ago
4 questions

1
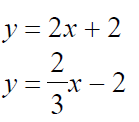
Solve by graphing.
Solve by graphing.
1
Solve by graphing.
Solve by graphing.
1
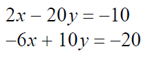
Solve by elimination.
Solve by elimination.
1
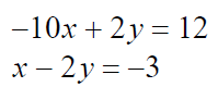
Solve by elimination.
Solve by elimination.