Unit 1 Test: Matrices
star
star
star
star
star
Last updated about 5 years ago
11 questions
3
Multiply the matrix by the Scalar. Show all work.
Multiply the matrix by the Scalar. Show all work.
3
Multiply the matrix by the Scalar. Show all work.
Multiply the matrix by the Scalar. Show all work.
3
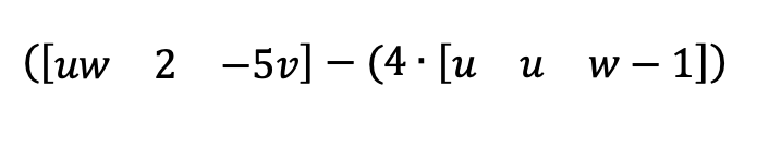
Solve the following problem. Choose from one of the answers below. Show all work.
Solve the following problem. Choose from one of the answers below. Show all work.
3
Solve the following problem. Choose from one of the answers below. Show all work.
Solve the following problem. Choose from one of the answers below. Show all work.
3
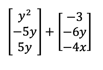
Add the following matrices. Show all work.
Add the following matrices. Show all work.
3
Add the following matrices. Show all work.
Add the following matrices. Show all work.
3
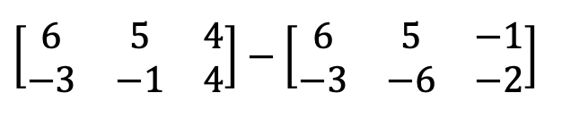
Subtract the following matrices. Show all work.
Subtract the following matrices. Show all work.
3
Subtract the following matrices. Show all work.
Subtract the following matrices. Show all work.
3
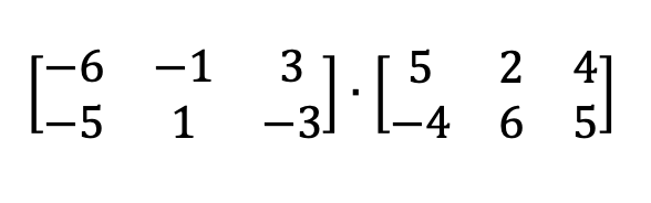
Multiply the following matrices. Show all work.
Multiply the following matrices. Show all work.
3
Multiply the following matrices. Show all work.
Multiply the following matrices. Show all work.
3
Is it possible to multiply two matrices with the dimensions [3x2] and [3x3]? If so, how, and what are the dimensions of the resulting matrix?
Is it possible to multiply two matrices with the dimensions [3x2] and [3x3]? If so, how, and what are the dimensions of the resulting matrix?