Log in
Sign up for FREE
arrow_back
Library
ALG462 Benchmark
By Keith Pigeon
star
star
star
star
star
Share
share
Last updated over 5 years ago
24 questions
Add this activity
1
1
1
1
1
1
1
1
1
1
1
1
1
1
1
1
1
1
1
1
1
1
1
1
Question 1
1.
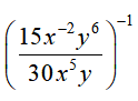
Simplify the expression.
Question 2
2.
Solve for x:
visibility
View drawing
Question 3
3.
Solve for y:
visibility
View drawing
Question 4
4.
Solve the inequality.
visibility
View drawing
Question 5
5.
Graph the equation. 3x + 5y = 15
visibility
View drawing
Question 6
6.
Solve the system using any method. Enter your answer as an ordered pair like (x,y)
visibility
View drawing
Question 7
7.
Write the equation of the line containing the points (6, -2) and (12, 1).
visibility
View drawing
Question 8
8.
Describe and correct the error in performing the operation.
visibility
View drawing
Question 9
9.
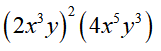
Simplify. Negative exponents are not allowed in your final answer.
visibility
View drawing
Question 10
10.
Simplify. Negative exponents are not allowed.
visibility
View drawing
Question 11
11.
Graph
visibility
View drawing
Question 12
12.
Are these lines parallel, perpendicular or neither? Show work.
visibility
View drawing
Question 13
13.
Solve by factoring. If there are multiple answers, separate them with a comma.
visibility
View drawing
Question 14
14.
Solve for x.
visibility
View drawing
Question 15
15.
Use the quadratic formula to solve
visibility
View drawing
Question 16
16.
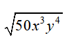
Simplfiy
visibility
View drawing
Question 17
17.
Simplify
visibility
View drawing
Question 18
18.
Solve for x
visibility
View drawing
Question 19
19.
Subtract
visibility
View drawing
Question 20
20.
Describe and correct the error!
visibility
View drawing
Question 21
21.
Describe and correct the error!
visibility
View drawing
Question 22
22.
Suppose y varies directly with x and y = 36 when x = 20. Find x when y = 45.
Question 23
23.
Graph
visibility
View drawing
Question 24
24.
Solve using logarithms.
visibility
View drawing