Log in
Sign up for FREE
arrow_back
Library

Test IM Unit 2 Lessons 1-5 Grading scale A 22-20.46, B 20.45-18.70, C 18.69- 16.5, D 15.4- 14.74, F 14.74-0

star
star
star
star
star
Last updated over 5 years ago
14 questions
1
1
1
1
3
1
2
1
1
1
1
6
1
1
Question 1
1.

Amelia bought a t-shirt for $15 and 3 pairs of pants. She spent a total of $117. Which equation matches this problem?

Question 2
2.

Match each statement with the corresponding equations.

Draggable itemarrow_right_altCorresponding Item
arrow_right_alt
arrow_right_alt
arrow_right_alt
arrow_right_alt
Question 3
3.

A volunteer has a budget to purchase canned vegetables and boxes of oatmeal to resupply the pantry at a local ood bank. Each can of vegetables costs $2, and each box of oatmeal costs $3 .
Which graph shows the possible combinations of canned vegetables and boxes of oatmeal that the volunteer can purchase for exactly $90?

Question 4
4.

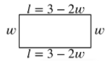
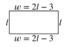
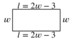
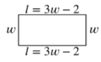
The length of a rectangle is 2 centimeters less than three times its width. If the permimeter of the rectangle is 12 centimeters, find its dimensions.

Choose the correct resulting equation.

Question 5
5.

Members of the band sold juice and popcorn at a college football game to raise money for an upcoming trip. The amount rasied is divided equally amoung the members of the band.
Jason said that the equation below represents the amount, each memver receives. Is Jason correct? Why or why not?


(3pts for correct answer and a detailed justification, 2 pts for correct answer and a vague justification, 1 pt for correct answer with no justification, and 0pts for incorrect answer).

Question 6
6.

While working at the drugstore, Sam earns $9 per hour. How many hours will it take Sam to earn $45? Choose the correct answer from the following options.

Question 7
7.

While working at the drugstore, Sam earns $9 per hour. How many hours will it take Sam to earn $18? Write your result in the space provided. Justify your answer. (1pt for correct answer and 1 pt for justification.

Question 8
8.

The length of a rectangle is 2 centimeters less than three times its width. If the permimeter of the rectangle is 12 centimeters, find its dimensions.

Question 9
9.

Question 10
10.

The length of a rectangle is 2 centimeters less than three times its width. If the permimeter of the rectangle is 12 centimeters, find its dimensions.
Find the dimensions of the rectangle.

Question 11
11.

Mary runs a computer repair business. She charges a flat fee of $50 plus $25 per hour of service.

Create an equation thaat Mary can use to calculate a customer's total cost with the variables C (total cost) and h (hours)

Question 12
12.

Drag each equation to it's solution. 1 pt each

Question 13
13.

The Cadet football team has a giant water cooler that is currently holding 60 gallons of water, 𝑤. However, the water cooler develops a leak during the game, and is losing water at a rate of 4 gallons per minute.

Write an equation representing the water left after t minutes and use w for the total amount.

Question 14
14.

A club is making posters to raise money. The printing company charges a base fee of $60 and $2 per poster. How many posters can they have printed to stay within their budget of $300?

A rectangle has a length of x and width y.
The perimeter of the rectangle is 32.

Mark all of the choices that are possible lengths and widths for the rectangle.
2 and 30
4 and 8
6 and 10
4 and 12
5 and 20
5 and 11