Solving Trig Equations
star
star
star
star
star
Last updated about 5 years ago
9 questions
Note from the author:
Practice solving trig equations
1
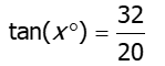
Enter the letter from the choices above that is the equation to solve the following:
Enter the letter from the choices above that is the equation to solve the following:
1
Enter the letter from the choices above that is the equation to solve the following:
Enter the letter from the choices above that is the equation to solve the following:
1
Enter the letter from the choices above that is the equation to solve the following:
Enter the letter from the choices above that is the equation to solve the following:
1
Enter the letter from the choices above that is the equation to solve the following:
Enter the letter from the choices above that is the equation to solve the following:
1
Enter the letter from the choices above that is the equation to solve the following:
Enter the letter from the choices above that is the equation to solve the following:
1
Enter the letter from the choices above that is the equation to solve the following:
Enter the letter from the choices above that is the equation to solve the following:
1
1
1
