Log in
Sign up for FREE
arrow_back
Library
Misplaced and Dangling Modifiers Quiz - ACT English cloned 10/5/2020
By Ray Killian
star
star
star
star
star
Share
share
Last updated about 5 years ago
15 questions
Add this activity
1
2
3
4
5
6
zoom_in
1 point
1
Question 1
1.
A
B
1 point
1
Question 2
2.
A
B
1 point
1
Question 3
3.
A
B
1 point
1
Question 4
4.
A
B
1 point
1
Question 5
5.
A
B
1 point
1
Question 6
6.
A
B
C
D
7
8
9
zoom_in
1 point
1
Question 7
7.
A
B
C
D
1 point
1
Question 8
8.
A
B
C
D
1 point
1
Question 9
9.
A
B
C
D
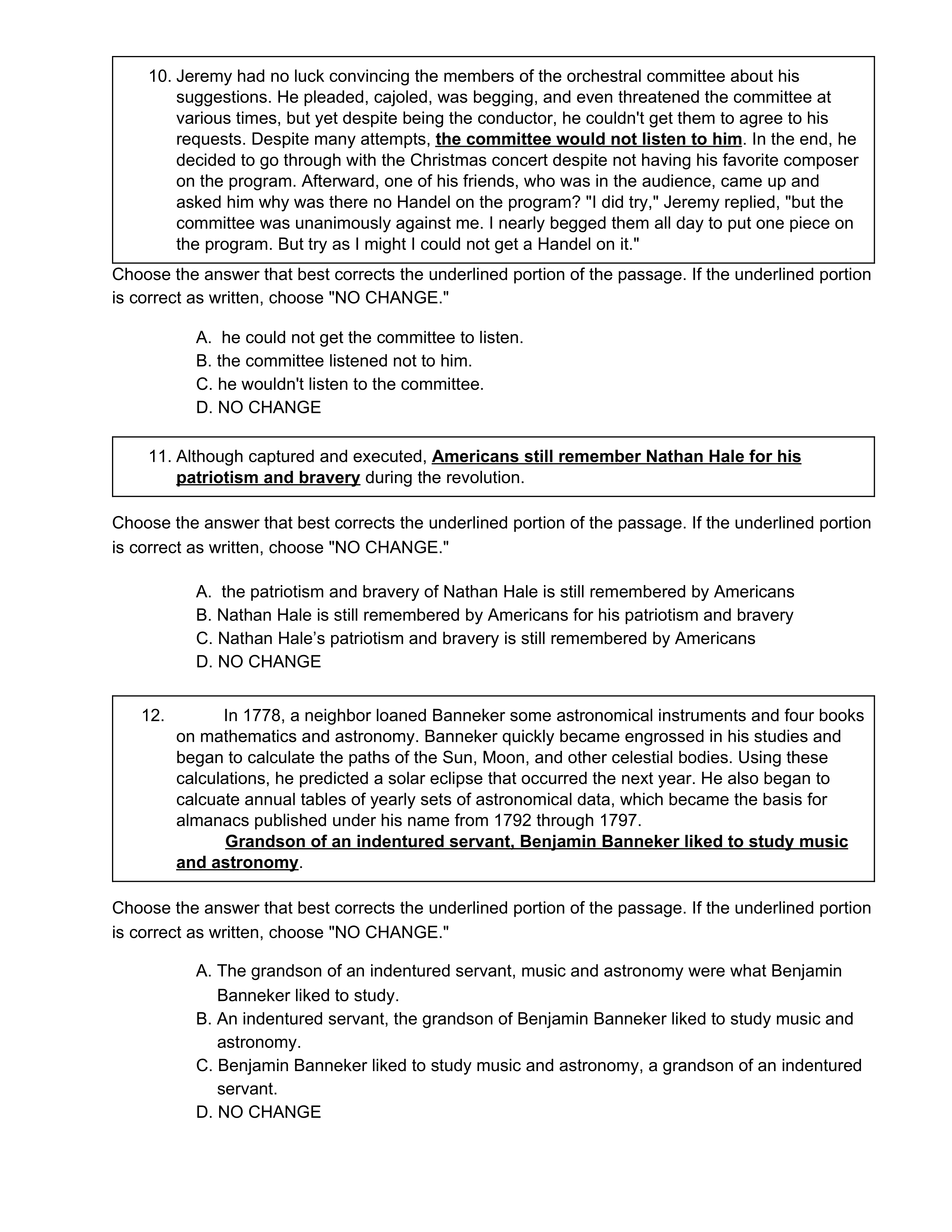
10
11
12
zoom_in
1 point
1
Question 10
10.
A
B
C
D
1 point
1
Question 11
11.
A
B
C
D
1 point
1
Question 12
12.
A
B
C
D
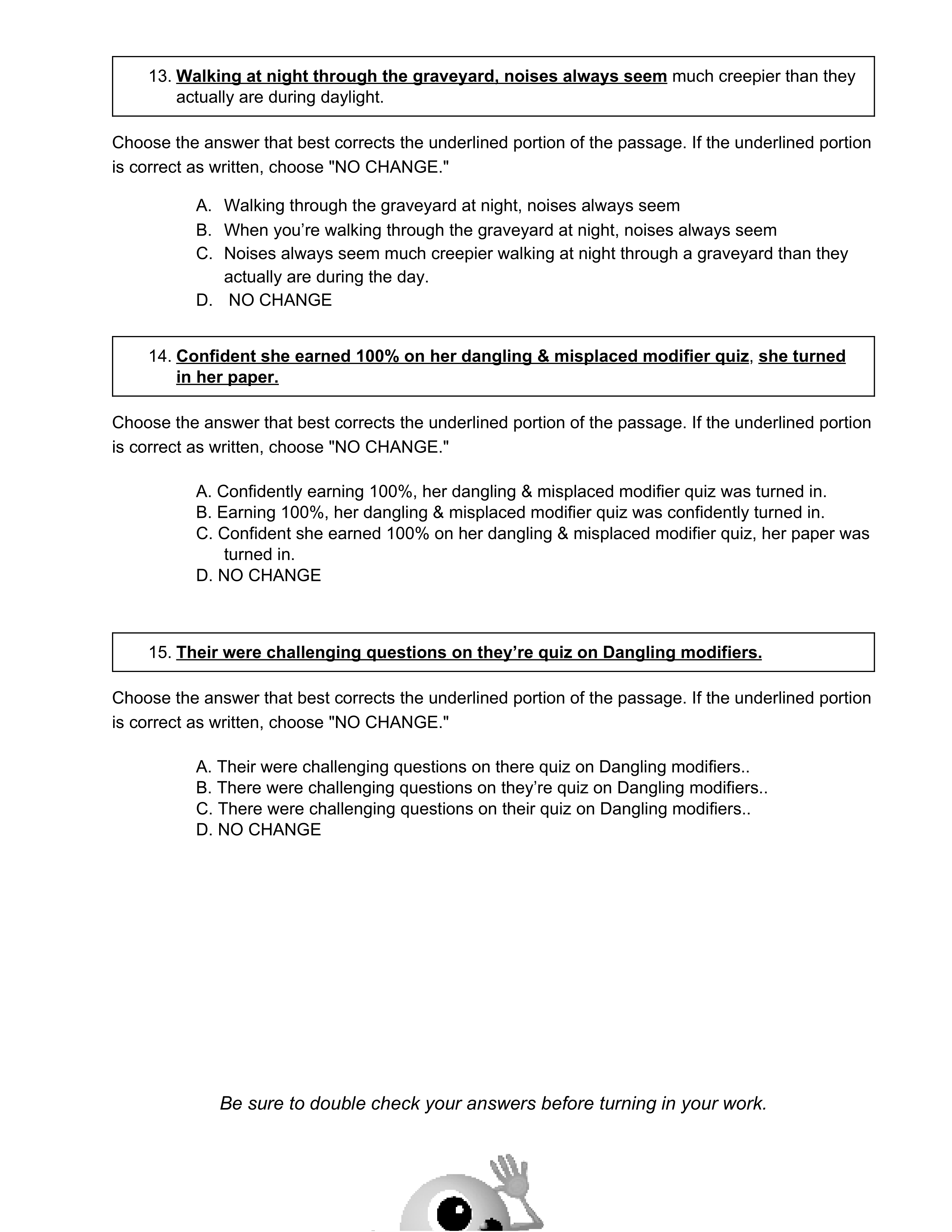
13
14
15
zoom_in
1 point
1
Question 13
13.
A
B
C
D
1 point
1
Question 14
14.
A
B
C
D
1 point
1
Question 15
15.
A
B
C
D