3.5-3.6 Mini Quiz
star
star
star
star
star
Last updated about 5 years ago
13 questions

2
Solve each absolute value equation. Be sure to show all of your work. |x| = -14
Solve each absolute value equation. Be sure to show all of your work.
|x| = -14
4
Solve each absolute value equation. Be sure to show all of your work. |4x + 1| = 17
Solve each absolute value equation. Be sure to show all of your work.
|4x + 1| = 17
6
Solve each absolute value equation. Be sure to show all of your work.
Solve each absolute value equation. Be sure to show all of your work.
6
Solve each absolute value equation. Be sure to show all of your work. 8|2x + 7| + 1 = 5
Solve each absolute value equation. Be sure to show all of your work.
8|2x + 7| + 1 = 5
3
Solve each absolute value equation. Be sure to show all of your work.
Solve each absolute value equation. Be sure to show all of your work.
3
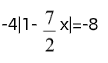
Solve each absolute value equation. Be sure to show all of your work.|
Solve each absolute value equation. Be sure to show all of your work.
|
3
Solve and graph each absolute value inequality.|x| < 16
Solve and graph each absolute value inequality.
|x| < 16
3
Solve and graph each absolute value inequality.
Solve and graph each absolute value inequality.
5
Solve and graph each absolute value inequality.|x + 7| > 7
Solve and graph each absolute value inequality.
|x + 7| > 7
5
Solve and graph each absolute value inequality.-2|4x + 3| < -8
Solve and graph each absolute value inequality.
-2|4x + 3| < -8
7
Solve and graph each absolute value inequality.
Solve and graph each absolute value inequality.
7
Solve and graph each absolute value inequality.
Solve and graph each absolute value inequality.
1
I predict I will score a __________% becasue _____________.
I predict I will score a __________% becasue _____________.