Log in
Sign up for FREE
arrow_back
Library
Rational root theorem
By Katelyn Miller
star
star
star
star
star
Share
share
Last updated about 5 years ago
11 questions
Add this activity
1
1
1
1
1
1
1
1
1
1
1
List all possible rational zeros
± <----- use this to copy paste into your answers
answers without ± will lose half credit
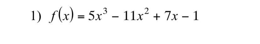
Question 1
1.
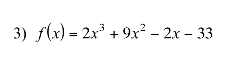
Question 2
2.
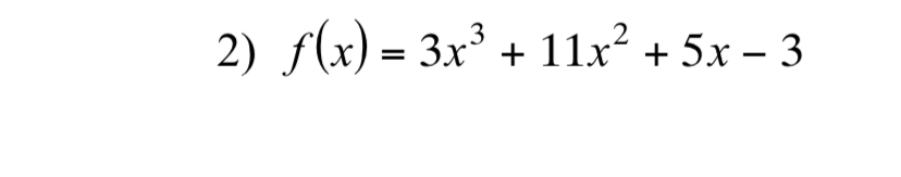
Question 3
3.
Question 4
4.
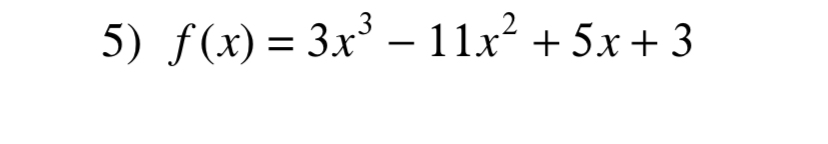
Question 5
5.
REVIEW AHEAD!
Question 6
6.
This polynomial has at most 5 zeros
True
False
Question 7
7.
This polynomial has at most 3 zeros
True
False
Question 8
8.
This polynomial has at most 3 turning points
True
False
Question 9
9.
This polynomial has at most 2 turning points
True
False
Question 10
10.
Describe the end behavior of
as x decreases, y increases as x increases, y increases
as x decreases, y decreases as x increases, y increases
as x decreases, y increases as x increases, y decreases
as x decreases, y decreases as x increases, y decreases
Question 11
11.
Which statement(s) describes the end behavior of the polynomial function,
I. As
x
→ ∞,
y
→ ∞ II. As
x
→ – ∞,
y
→ ∞ III. As
x
→ – ∞,
y
→ – ∞ IV. As
x
→ ∞,
y
→ – ∞
I and II only
II and III only
I and III only
III and IV only