Log in
Sign up for FREE
arrow_back
Library
Unit 2 Multi Step Equations and Inequalities Test Review
By Julie Wager
star
star
star
star
star
Share
share
Last updated over 5 years ago
14 questions
Add this activity
Note from the author:
Algebra 1 Multi-Step Equations and Inequalities
1
1
1
1
1
1
1
1
1
1
1
1
1
1
Question 1
1.
visibility
View drawing
Question 2
2.
visibility
View drawing
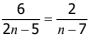
Question 3
3.
visibility
View drawing
Question 4
4.
visibility
View drawing
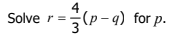
Question 5
5.
visibility
View drawing
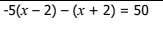
Question 6
6.
visibility
View drawing
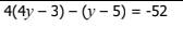
Question 7
7.
visibility
View drawing
Question 8
8.
visibility
View drawing
Question 9
9.
visibility
View drawing
Question 10
10.
A rectangle has a length six inches less than twice its width. If the perimeter of the rectangle is 54
inches, find the dimensions.
visibility
View drawing
Question 11
11.
The sum of two consecutive odd numbers is 148. Find the numbers.
visibility
View drawing
Question 12
12.
visibility
View drawing
Question 13
13.
visibility
View drawing
Question 14
14.
visibility
View drawing