GEO Perpendicular Lines
star
star
star
star
star
Last updated about 5 years ago
19 questions
1
a)
a)
1
b)
b)
1
c)
c)
1
d)
d)
1
e)
e)
1
f)
f)
1
g)
e
g)
e

1
1
1
1
1
Find the supplement of K
Find the supplement of K
1
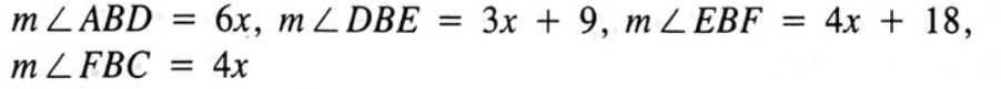
Solve for x
Solve for x
1
Solve for x
Solve for x
1
Solve for x
Solve for x
1
1

1
angle
angle
1
supplement
supplement