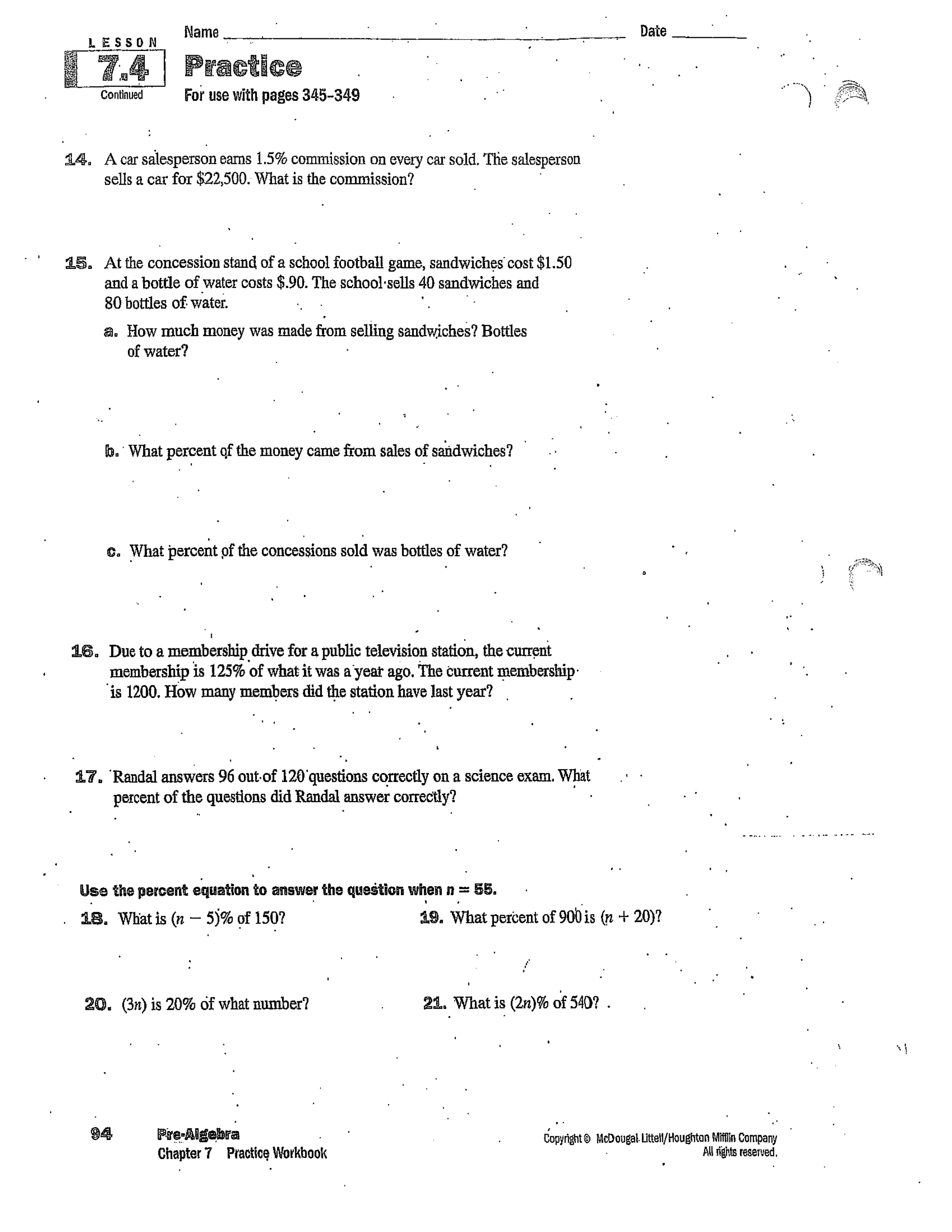
3.7 HW
star
star
star
star
star
Last updated almost 2 years ago
27 questions

1
Write a proportion (press the keyboard button, then use the fraction key OR use the / key).
Write a proportion (press the keyboard button, then use the fraction key OR use the / key).
1
Solve #1.
Solve #1.
1
Write a proportion.
Write a proportion.
1
Solve #4.
Solve #4.
1
Write a proportion.
Write a proportion.
1
Solve #5.
Solve #5.
1
Write a proportion.
Write a proportion.
1
Solve #7
Solve #7
1
Write a proportion.
Write a proportion.
1
Solve #9.
Solve #9.
1
Write a proportion.
Write a proportion.
1
Solve #11.
Solve #11.
1
Write an equation to solve the problem (no spaces).
Write an equation to solve the problem (no spaces).
1
Solve #13.
Solve #13.
1
Write an equation.
Write an equation.
1
Solve #16.
Solve #16.
1
Write an equation.
Write an equation.
1
Solve #17.
Solve #17.
1
Write an equation.
Write an equation.
1
Solve #19.
Solve #19.
1
Write an equation.
Write an equation.
1
Solve #21.
Solve #21.
1
Write an equation.
Write an equation.
1
Solve #23.
Solve #23.

1
How much commission?
How much commission?
1
How many members last year?
How many members last year?
1
What was Randal's score, as a percent?
What was Randal's score, as a percent?