Log in
Sign up for FREE
arrow_back
Library
11/10 Similarity & Proportions Quiz
By Larry Mooney
star
star
star
star
star
Share
share
Last updated over 1 year ago
5 questions
Add this activity
20 points
20
Question 1
1.
Solve for x.
5.1
36
3.1
5.5
20 points
20
Question 2
2.
30
5
36
.6
20 points
20
Question 3
3.
Solve for x.
10
15
1.3
2.5
20 points
20
Question 4
4.
Solve for b.
1.5
10
2
-1.5
20 points
20
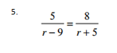
Question 5
5.
Solve for r.
30
32.3
35
5.2