Proof Quiz
star
star
star
star
star
Last updated about 5 years ago
20 questions
1
Write a conditional statement describing the Venn diagram shown.
Write a conditional statement describing the Venn diagram shown.
1
Use the Venn diagram shown to answer the question. How many students are in math only?
Use the Venn diagram shown to answer the question.
How many students are in math only?
1
Use the Venn diagram shown to answer the question. How many students are in math and chemistry?
Use the Venn diagram shown to answer the question.
How many students are in math and chemistry?
1
Use the Venn diagram shown to answer the question. How many students are taking Spanish, math, and chemistry?
Use the Venn diagram shown to answer the question.
How many students are taking Spanish, math, and chemistry?
1
Use the Venn diagram shown to answer the question. How many students are not taking Spanish, math, or chemistry?
Use the Venn diagram shown to answer the question.
How many students are not taking Spanish, math, or chemistry?
1
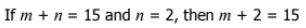
Which of the following statements is justified by the ADDITION PROPERTY OF EQUALITY?
Which of the following statements is justified by the ADDITION PROPERTY OF EQUALITY?
1
Which of the following statements is justified by the SUBTRACTION PROPERTY OF EQUALITY?
Which of the following statements is justified by the SUBTRACTION PROPERTY OF EQUALITY?
1
Which of the following statements is justified by the MULTIPLICATION PROPERTY OF EQUALITY?
Which of the following statements is justified by the MULTIPLICATION PROPERTY OF EQUALITY?
1
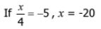
Which of the following statements is justified by the DIVISION PROPERTY OF EQUALITY?
Which of the following statements is justified by the DIVISION PROPERTY OF EQUALITY?
1
Which of the following statements is justified by the DISTRIBUTIVE PROPERTY?
Which of the following statements is justified by the DISTRIBUTIVE PROPERTY?
1
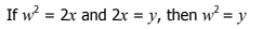
Which of the following statements is justified by the SUBSTITUTION PROPERTY?
Which of the following statements is justified by the SUBSTITUTION PROPERTY?
1
Which of the following statements is justified by the REFLEXIVE PROPERTY?
Which of the following statements is justified by the REFLEXIVE PROPERTY?
1
Which of the following statements is justified by the SYMMETRIC PROPERTY?
Which of the following statements is justified by the SYMMETRIC PROPERTY?
1
Which of the following statements is justified by the TRANSITIVE PROPERTY?
Which of the following statements is justified by the TRANSITIVE PROPERTY?

1
Fill in the missing reason for the proof shown.
Fill in the missing reason for the proof shown.
1
Fill in the missing reason for the proof shown.
Fill in the missing reason for the proof shown.
1
Fill in the missing reason for the proof shown.
Fill in the missing reason for the proof shown.
1
Fill in the missing reason for the proof shown.
Fill in the missing reason for the proof shown.
1
Fill in the missing reason for the proof shown.
Fill in the missing reason for the proof shown.
1
Fill in the missing reason for the proof shown.
Fill in the missing reason for the proof shown.