Log in
Sign up for FREE
arrow_back
Library
DODEA 1G Unit 2 Summative
By Amy Dougherty
star
star
star
star
star
Share
share
Last updated over 5 years ago
11 questions
Add this activity
Note from the author:
End of Unit 2 Summative
1
1
1
1
1
1
1
1
1
1
1
GRADE 1 - Unit 2 Summative
Addition and Subtraction of Numbers to 20 through Problem Solving
Question 1
1.
There were 19 flowers in the garden
Some of the flowers were picked.
Now there are 7 flowers in the garden.
How many flowers were picked?
Use pictures, numbers, or words to show your thinking.
visibility
View drawing
Question 2
2.
Use your work in Question #1 to select answer below.
Question #1
There were 19 flowers in the garden
Some of the flowers were picked.
Now there are 7 flowers in the garden.
How many flowers were picked?
7
9
12
26
Question 3
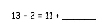
3.
Find the missing addend.
Question 4
4.
Select the
two
number sentences that are true.
17 = 17
18 = 18 + 1
16 - 5 = 1 + 10
17 - 5 = 15 + 2
6 + 9 = 16
Question 5
5.
What number can you write that will make the number sentence true?
Question 6
6.
Find the missing number.
4 + 4 = ___
Question 7
7.
Find the missing number.
3 + 4 = ___
Question 8
8.
Find the missing number.
5 + 9 = ___
Question 9
9.
Find the missing number.
15 - 9 = ___
Question 10
10.
Find the sum of 7 + 8.
Use pictures, numbers, or words to show your thinking and your answer.
visibility
View drawing
Question 11
11.
Find the unknown number.