Formatif: vocabulaire-additions-soustractions
star
star
star
star
star
Last updated over 2 years ago
20 questions
1
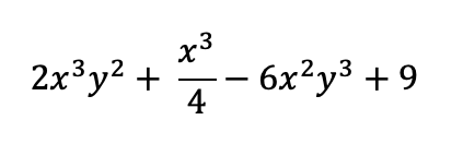
Cette expression algébrique est composée de 3 termes.
Cette expression algébrique est composée de 3 termes.
1
Le premier terme et le troisième terme de cette expression algébriques sont semblables.
Le premier terme et le troisième terme de cette expression algébriques sont semblables.
1
Quel est le coefficient du deuxième terme?
Quel est le coefficient du deuxième terme?
1
Le coefficient du troisième terme est 6.
Le coefficient du troisième terme est 6.
1
Le terme constant est 9.
Le terme constant est 9.
1
Le degré de cette expression algébrique est 5.
Le degré de cette expression algébrique est 5.
1
Les variables utilisées dans cette expression algébriques sont: (coche toutes les réponses possibles).
Les variables utilisées dans cette expression algébriques sont: (coche toutes les réponses possibles).
1
Pour additionner ou soustraire des expressions algébriques, les termes doivent être semblables.
Pour additionner ou soustraire des expressions algébriques, les termes doivent être semblables.
1
5x + x = ?
5x + x = ?
1
-2x + 6x = ?
-2x + 6x = ?
1
-3x - -10x = ?
-3x - -10x = ?
1
(x + 5) + (-x + -9)
(x + 5) + (-x + -9)
1
(3x + -2) + (4x - 5) - 8
(3x + -2) + (4x - 5) - 8
1
(2x + 5) - (7x + 1)
(2x + 5) - (7x + 1)
1
(-4x + 5) + (x - 1) - (7x - 6) + 10
(-4x + 5) + (x - 1) - (7x - 6) + 10
1
1
1
1
1