Geometry.4.C.11 - Perimeters and Areas of Polygonal Regions Defined by Systems of Inequalities – Exit Ticket
star
star
star
star
star
Last updated almost 4 years ago
3 questions
10
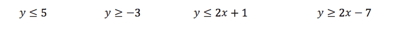
Sketch the region.
Sketch the region.
10
Determine the coordinates of the vertices.
Determine the coordinates of the vertices.
10
Find the area of the quadrilateral region.
Find the area of the quadrilateral region.
