Unit 4 Level 3/4 Assessment
star
star
star
star
star
Last updated about 5 years ago
11 questions
1
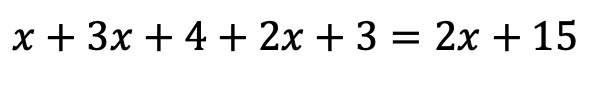
Solve the equation below. SHOW ALL WORK. Circle your final answer. If you do not show work, you will not get credit.
Solve the equation below. SHOW ALL WORK. Circle your final answer. If you do not show work, you will not get credit.
1
Solve the equation below. SHOW ALL WORK. Circle your final answer. If you do not show work, you will not get credit.
Solve the equation below. SHOW ALL WORK. Circle your final answer. If you do not show work, you will not get credit.
1
Solve the equation below. SHOW ALL WORK. Circle your final answer. If you do not show work, you will not get credit.
Solve the equation below. SHOW ALL WORK. Circle your final answer. If you do not show work, you will not get credit.
1
Solve the equation below. SHOW ALL WORK. Circle your final answer. If you do not show work, you will not get credit.
Solve the equation below. SHOW ALL WORK. Circle your final answer. If you do not show work, you will not get credit.
1
Solve the equation below. SHOW ALL WORK. Circle your final answer. If you do not show work, you will not get credit.
Solve the equation below. SHOW ALL WORK. Circle your final answer. If you do not show work, you will not get credit.
1
Solve the equation below. SHOW ALL WORK. Circle your final answer. If you do not show work, you will not get credit.
Solve the equation below. SHOW ALL WORK. Circle your final answer. If you do not show work, you will not get credit.
1
Solve the equation below. SHOW ALL WORK. Circle your final answer. If you do not show work, you will not get credit.
Solve the equation below. SHOW ALL WORK. Circle your final answer. If you do not show work, you will not get credit.
1
Solve the equation below. SHOW ALL WORK. Circle your final answer. If you do not show work, you will not get credit.
Solve the equation below. SHOW ALL WORK. Circle your final answer. If you do not show work, you will not get credit.
1
Solve the following word problem below. You must write an equation and then solve it in order to receive credit. Be sure to show all your work!
Solve the following word problem below. You must write an equation and then solve it in order to receive credit. Be sure to show all your work!
1
Solve the following word problem below. You must write an equation and then solve it in order to receive credit. Be sure to show all your work!
Solve the following word problem below. You must write an equation and then solve it in order to receive credit. Be sure to show all your work!
1
Solve the following word problem below. You must write an equation and then solve it in order to receive credit. Be sure to show all your work!
Solve the following word problem below. You must write an equation and then solve it in order to receive credit. Be sure to show all your work!