Log in
Sign up for FREE
arrow_back
Library

Unit 1 Test

star
star
star
star
star
Last updated almost 4 years ago
21 questions
0
2
2
2
2
2
2
2
2
2
5
2
4
5
1
2
Question 1
1.

HONOR CODE STATEMENT:
I affirm that this exam represents my own work, without the use of any unpermitted aids or resources. I understand that there will no tolerance towards academic dishonesty, and that cheating may lead to automatic failure on this assessment, as well as being reported to the administration.

Question 2
2.

Simplify the expression. You must show your steps to receive credit.

Question 3
3.

Question 4
4.

Question 5
5.

Question 6
6.

Question 7
7.

Question 8
8.

Question 9
9.

Question 10
10.

Question 11
11.

Evaluate the expression for the given values. You must show your steps to receive full credit.

Question 12
12.

Look at the model and write the simplified expression.

Question 13
13.

Evaluate the expression for the given values. You must show your steps to receive full credit.

Question 14
14.

Evaluate the expression for the given values. You must show your steps to receive credit.




Leave your answer as an improper fraction. Your answer should be in fraction form.

1
Question 15
15.

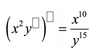
Fill in the number(s) that would make the following equations true.

1
1
Question 17
17.

Fill in the number(s) that would make the following equations true.

1
1
Question 20
20.

Question 21
21.

Which is equivalent to:
Which is equivalent to:
Which is equivalent to:
Simplify the expression completely. You must show your steps to receive full credit.
Simplify the expression completely. You must show your steps to receive full credit.
Simplify the expression completely.
Select the algebraic equation that matches the verbal phrase.

"Three times the difference of one and a number."
Select the verbal expression that matches the algebraic expression.
Forty divided by twice a number x plus six.
Forty divided by the quantity of six more than twice a number x.
Six more than two times a number x divided by forty.
The quotient of forty and two times a number x added to six.
Question 16
16.

Fill in the number(s) that would make the following equations true.

Question 18
18.

Fill in the number(s) that would make the following equations true.

Question 19
19.

Fill in the number(s) that would make the following equations true.

Identify what the unknown variable x represents in this problem.

"Sam wants to buy a new iPad. His mom gives him $50 for his birthday. Sam plans to save $15 a week until he has enough money to buy the iPad."
x = total amount of money Sam has
x = total amount of money Sam needs
x = # of iPads
x =# of weeks
Write an algebraic expression that could be used to model the following situation.

"Sam wants to buy a new iPad. His mom gives him $50 for his birthday. Sam plans to save $15 a week until he has enough money to buy the iPad."
50x + 15
50 - 15x
50 + 15x
15x - 50