Ch 4 Day 5 Quiz: Comparing Quantitative Data Displays 8th Pd
star
star
star
star
star
Last updated over 4 years ago
20 questions
4
Basketball and volleyball teams list players' heights in the programs as players' stats. Suppose a team measured their players' heights while they were wearing their team sneakers, adding one inch to each players' height.
If you realized this and wanted to describe the players' heights accurately, you need to know which statistics would be affected.
1. Is this a shift or a scale?2. How do you know?
Make sure to select 2 correct answers below.
Basketball and volleyball teams list players' heights in the programs as players' stats. Suppose a team measured their players' heights while they were wearing their team sneakers, adding one inch to each players' height.
If you realized this and wanted to describe the players' heights accurately, you need to know which statistics would be affected.
1. Is this a shift or a scale?
2. How do you know?
Make sure to select 2 correct answers below.
6
Basketball and volleyball teams list players' heights in the programs as players' stats. Suppose a team measured their players' heights while they were wearing their team sneakers, adding one inch to each players' height.
If you realized this and wanted to describe the players' heights accurately, which of the statisitcs listed below would change?
Select all the statistics below that would change.
Make sure to select ALL the correct answers from the list below.
Basketball and volleyball teams list players' heights in the programs as players' stats. Suppose a team measured their players' heights while they were wearing their team sneakers, adding one inch to each players' height.
If you realized this and wanted to describe the players' heights accurately, which of the statisitcs listed below would change?
Select all the statistics below that would change.
Make sure to select ALL the correct answers from the list below.
4
Basketball and volleyball teams list players' heights in the programs as players' stats. The team we are thinking of is going to play in an internation tournament so the heights need to be converted to centimeters instead of inches (1 inch = 2.54 cm).
1. Is this a shift or a scale?2. How do you know?
Make sure to select 2 correct answers below.
Basketball and volleyball teams list players' heights in the programs as players' stats. The team we are thinking of is going to play in an internation tournament so the heights need to be converted to centimeters instead of inches (1 inch = 2.54 cm).
1. Is this a shift or a scale?
2. How do you know?
Make sure to select 2 correct answers below.
6
Basketball and volleyball teams list players' heights in the programs as players' stats. The team we are thinking of is going to play in an internation tournament so the heights need to be converted to centimeters instead of inches (1 inch = 2.54 cm).
Which statistics listed below would change?
Make sure to select ALL the correct answers from the list below.
Basketball and volleyball teams list players' heights in the programs as players' stats.
The team we are thinking of is going to play in an internation tournament so the heights need to be converted to centimeters instead of inches (1 inch = 2.54 cm).
Which statistics listed below would change?
Make sure to select ALL the correct answers from the list below.
4
Basketball and volleyball teams list players' heights in the programs as players' stats. The team we are thinking of is going to play in an internation tournament so the heights need to be converted to centimeters instead of inches (1 inch = 2.54 cm).
The mean height was 70 inches for the women's volleyball team and needs to be converted to centimeters.
What would the new mean height be?
Enter your answer below.
Basketball and volleyball teams list players' heights in the programs as players' stats.
The team we are thinking of is going to play in an internation tournament so the heights need to be converted to centimeters instead of inches (1 inch = 2.54 cm).
The mean height was 70 inches for the women's volleyball team and needs to be converted to centimeters.
What would the new mean height be?
Enter your answer below.
4
Here are some summary statistics for Verbal SAT scores for a high school graduating class: Min: Q1: Med: Q3: Max: Mean: Male: 310 515 600 650 800 590
Females: 360 530 625 680 770 602
Which group had the greatest interquartile range? What was it?Select both answers below.
Here are some summary statistics for Verbal SAT scores for a high school graduating class:
Min: Q1: Med: Q3: Max: Mean:
Male: 310 515 600 650 800 590
Females: 360 530 625 680 770 602
Which group had the greatest interquartile range?
What was it?
Select both answers below.
4
Here are some summary statistics for Verbal SAT scores for a high school graduating class: Min: Q1: Med: Q3: Max: Mean: Male: 310 515 600 650 800 590
Females: 360 530 625 680 770 602
If the SAT scores were adjusted by increasing each score by 150 points, what would the IQR be for the males' set of data after the scores were adjusted?Enter your answer below. (Hint: you may need to refer to your answers for #1-4)
Here are some summary statistics for Verbal SAT scores for a high school graduating class:
Min: Q1: Med: Q3: Max: Mean:
Male: 310 515 600 650 800 590
Females: 360 530 625 680 770 602
If the SAT scores were adjusted by increasing each score by 150 points, what would the IQR be for the males' set of data after the scores were adjusted?
Enter your answer below. (Hint: you may need to refer to your answers for #1-4)
4
Here are some summary statistics for Verbal SAT scores for a high school graduating class: Min: Q1: Med: Q3: Max: Mean: Male: 310 515 600 650 800 590
Females: 360 530 625 680 770 602
Compare the measures of center (mean and median) for female scores.
Describe the possible shape of the data display for the female scores.Choose one answer.
Here are some summary statistics for Verbal SAT scores for a high school graduating class:
Min: Q1: Med: Q3: Max: Mean:
Male: 310 515 600 650 800 590
Females: 360 530 625 680 770 602
Compare the measures of center (mean and median) for female scores.
Describe the possible shape of the data display for the female scores.
Choose one answer.
4
Researchers gave students enrolled in a section of basic Spanish a set of 50 new vocabulary words to memorize. On Friday the students took a vocabulary test. When they returned to class the following Monday they were retested, without advance warning. Both sets of test scores for the 25 students are shown.n=12 for both lists.
Friday: 42, 44, 41, 41, 44, 43, 41, 39, 43, 48, 43, 45
Monday: 36, 44, 46, 38, 40, 38, 37, 31, 32, 37, 41, 32
Enter your data into your calculator.1. Stat, Edit, L1: Friday scores
2. Stat, Edit, L2: Monday scores
3. Display stacked boxplots for the two data sets:
Turn Statplot #1 ON (2nd, y=, Statplot#1), choose the modified boxplot (next to the histogram),Xlist: L1 (2nd, 1), Freq=1Turn Statplot #2 ON (Statplot #2, enter), choose the modified boxplot (next to the histogram),change Xlist: L2 (2nd, 2), Freq=1
4. Zoom 9 to display the stacked boxplots. Remember that Friday data is displayed on top,
Remember: Friday is the top boxplot and Monday is the bottom boxplot.Compare the two boxplots, noting the location of the quartiles.
Using the quartiles, what percent of the Monday scores were worse than the top 75% of the scores for Friday?
Researchers gave students enrolled in a section of basic Spanish a set of 50 new vocabulary words to memorize. On Friday the students took a vocabulary test. When they returned to class the following Monday they were retested, without advance warning. Both sets of test scores for the 25 students are shown.
n=12 for both lists.
Friday: 42, 44, 41, 41, 44, 43, 41, 39, 43, 48, 43, 45
Monday: 36, 44, 46, 38, 40, 38, 37, 31, 32, 37, 41, 32
Enter your data into your calculator.
1. Stat, Edit, L1: Friday scores
2. Stat, Edit, L2: Monday scores
3. Display stacked boxplots for the two data sets:
Turn Statplot #1 ON (2nd, y=, Statplot#1), choose the modified boxplot (next to the histogram),
Xlist: L1 (2nd, 1), Freq=1
Turn Statplot #2 ON (Statplot #2, enter), choose the modified boxplot (next to the histogram),
change Xlist: L2 (2nd, 2), Freq=1
4. Zoom 9 to display the stacked boxplots. Remember that Friday data is displayed on top,
Remember: Friday is the top boxplot and Monday is the bottom boxplot.
Compare the two boxplots, noting the location of the quartiles.
Using the quartiles, what percent of the Monday scores were worse than the top 75% of the scores for Friday?
4
Researchers gave students enrolled in a section of basic Spanish a set of 50 new vocabulary words to memorize. On Friday the students took a vocabulary test. When they returned to class the following Monday they were retested, without advance warning. Both sets of test scores for the 25 students are shown.n=12 for both lists.
Friday: 42, 44, 41, 41, 44, 43, 41, 39, 43, 48, 43, 45
Monday: 36, 44, 46, 38, 40, 38, 37, 31, 32, 37, 41, 32
Enter your data into your calculator.1. Stat, Edit, L1: Friday scores
2. Stat, Edit, L2: Monday scores
3. Display stacked boxplots for the two data sets: Turn Statplot #1 ON (2nd, y=, Statplot#1), choose the modified boxplot (next to the histogram), Xlist: L1 (2nd, 1), Freq=1 Turn Statplot #2 ON (Statplot #2, enter), choose the modified boxplot (next to the histogram), change Xlist: L2 (2nd, 2), Freq=1
4. Zoom 9 to display the stacked boxplots. Remember that Friday data is displayed on top, Remember: Friday is the top and Monday is the bottom boxplot.
Compare the two boxplots, noting the location of the quartiles. Rotate your calculator 90 degrees to the left, see if that helps in the comparison of the boxplots.
Select the correct statement from the list below:
Researchers gave students enrolled in a section of basic Spanish a set of 50 new vocabulary words to memorize. On Friday the students took a vocabulary test. When they returned to class the following Monday they were retested, without advance warning. Both sets of test scores for the 25 students are shown.
n=12 for both lists.
Friday: 42, 44, 41, 41, 44, 43, 41, 39, 43, 48, 43, 45
Monday: 36, 44, 46, 38, 40, 38, 37, 31, 32, 37, 41, 32
Enter your data into your calculator.
1. Stat, Edit, L1: Friday scores
2. Stat, Edit, L2: Monday scores
3. Display stacked boxplots for the two data sets:
Turn Statplot #1 ON (2nd, y=, Statplot#1), choose the modified boxplot (next to the histogram),
Xlist: L1 (2nd, 1), Freq=1
Turn Statplot #2 ON (Statplot #2, enter), choose the modified boxplot (next to the histogram),
change Xlist: L2 (2nd, 2), Freq=1
4. Zoom 9 to display the stacked boxplots. Remember that Friday data is displayed on top,
Remember: Friday is the top and Monday is the bottom boxplot.
Compare the two boxplots, noting the location of the quartiles.
Rotate your calculator 90 degrees to the left, see if that helps in the comparison of the boxplots.
Select the correct statement from the list below:
4
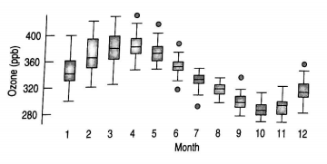
The EPA (Environmental Protection Agency) provides Ozone measurements throughout the year.Use the side by side boxplots below to compare the months of the year.
Which month had the smallest variability (the most consistent results) and how do you know?
Give answers to both questions.
The EPA (Environmental Protection Agency) provides Ozone measurements throughout the year.
Use the side by side boxplots below to compare the months of the year.
Which month had the smallest variability (the most consistent results) and how do you know?
Give answers to both questions.
3
The dotplots below compare data gathered on teenagers comparing the hours they spent on exercise and video games.
Compare the two sets of data.Select 3 correct statements from the list below:
The dotplots below compare data gathered on teenagers comparing the hours they spent on exercise and video games.
Compare the two sets of data.
Select 3 correct statements from the list below:
4
To help travelers know what to expect, researchers collected the prices of commodities in 16 cities throughout the world.Here are boxplots comparing the prices of a ride on public transportation, a newspaper, and a cup of coffee in the 16 cities (pries are all in US$).
Compare the boxplots for the three commodities.
Using the quartiles of the boxplots, what percent of the Newspaper prices are greater than 75% of the Public Transportation prices?
To help travelers know what to expect, researchers collected the prices of commodities in 16 cities throughout the world.
Here are boxplots comparing the prices of a ride on public transportation, a newspaper, and a cup of coffee in the 16 cities (pries are all in US$).
Compare the boxplots for the three commodities.
Using the quartiles of the boxplots, what percent of the Newspaper prices are greater than 75% of the Public Transportation prices?
4
To help travelers know what to expect, researchers collected the prices of commodities in 16 cities throughout the world.Here are boxplots comparing the prices of a ride on public transportation, a newspaper, and a cup of coffee in the 16 cities (pries are all in US$).
Compare the boxplots for the three commodities.
Using the quatiles of the boxplots, the top 75% of the Coffee prices are greater than what % of the Newspaper prices?
To help travelers know what to expect, researchers collected the prices of commodities in 16 cities throughout the world.
Here are boxplots comparing the prices of a ride on public transportation, a newspaper, and a cup of coffee in the 16 cities (pries are all in US$).
Compare the boxplots for the three commodities.
Using the quatiles of the boxplots, the top 75% of the Coffee prices are greater than what % of the Newspaper prices?
6
The scores on a state standardized EOC Test are compared below between History and English classes.Use the key: 3 | 2 | 7 means 27 for English and 23 for History.
Use the key: 3 | 2 | 7 means 27 for English and 23 for History.
Compare the shapes of the back to back stemplots.
Select the three best answers to describe the shapes of the data distributions.
The scores on a state standardized EOC Test are compared below between History and English classes.
Use the key: 3 | 2 | 7 means 27 for English and 23 for History.
Use the key: 3 | 2 | 7 means 27 for English and 23 for History.
Compare the shapes of the back to back stemplots.
Select the three best answers to describe the shapes of the data distributions.
4
A survey of major universities asked what percentage of incoming freshmen usually graduate 'on time' in 4 years. Use the calculated statistics to answer the following questions.
Count: 48 universitiesMean: 68.35Median: 70.90Std. Dev: 10.20Min: 43.20Max: 87.40Range: 44.20Q1: 59.15Q3: 74.15
1. Compare the mean to the median, which is larger? 2. Use this information to determine information about the shape of the histogram for the data.
Choose two correct answers below.
A survey of major universities asked what percentage of incoming freshmen usually graduate 'on time' in 4 years.
Use the calculated statistics to answer the following questions.
Count: 48 universities
Mean: 68.35
Median: 70.90
Std. Dev: 10.20
Min: 43.20
Max: 87.40
Range: 44.20
Q1: 59.15
Q3: 74.15
1. Compare the mean to the median, which is larger?
2. Use this information to determine information about the shape of the histogram for the data.
Choose two correct answers below.
4
Using the data display shown by the histogram below:
Which will be larger, the mean or the median? Or will they be the same?
Explain how you know.
Select 2 correct answers below.
Using the data display shown by the histogram below:
Which will be larger, the mean or the median? Or will they be the same?
Explain how you know.
Select 2 correct answers below.
4
Here are boxplots of the points scored during the first ten games of the basketball season for both Scyrine and Alexandra:
Compare the two data distributions.
Describe a similarity between the two boxplots, explain the similarity and how you know this is true.
Enter your answer in the space below, make sure your answer is clear for full credit.
Here are boxplots of the points scored during the first ten games of the basketball season for both Scyrine and Alexandra:
Compare the two data distributions.
Describe a similarity between the two boxplots, explain the similarity and how you know this is true.
Enter your answer in the space below, make sure your answer is clear for full credit.
4
Here are boxplots of the points scored during the first ten games of the basketball season for both Scyrine and Alexandra:
Contrast the two distributions.
Contrast the consistency or variability of the two players points data. How do you know this is true? Explain how the boxplots support your answer visually.
Enter your answer in the space below, make sure your answer is clear for full credit.
Here are boxplots of the points scored during the first ten games of the basketball season for both Scyrine and Alexandra:
Contrast the two distributions.
Contrast the consistency or variability of the two players points data.
How do you know this is true? Explain how the boxplots support your answer visually.
Enter your answer in the space below, make sure your answer is clear for full credit.
4
Here are boxplots of the points scored during the first ten games of the basketball season for both Scyrine and Alexandra:
If you were the coach and could only take one player to the state championship, which one would you take based on the boxplots? Why?
Here are boxplots of the points scored during the first ten games of the basketball season for both Scyrine and Alexandra:
If you were the coach and could only take one player to the state championship, which one would you take based on the boxplots? Why?