Log in
Sign up for FREE
arrow_back
Library
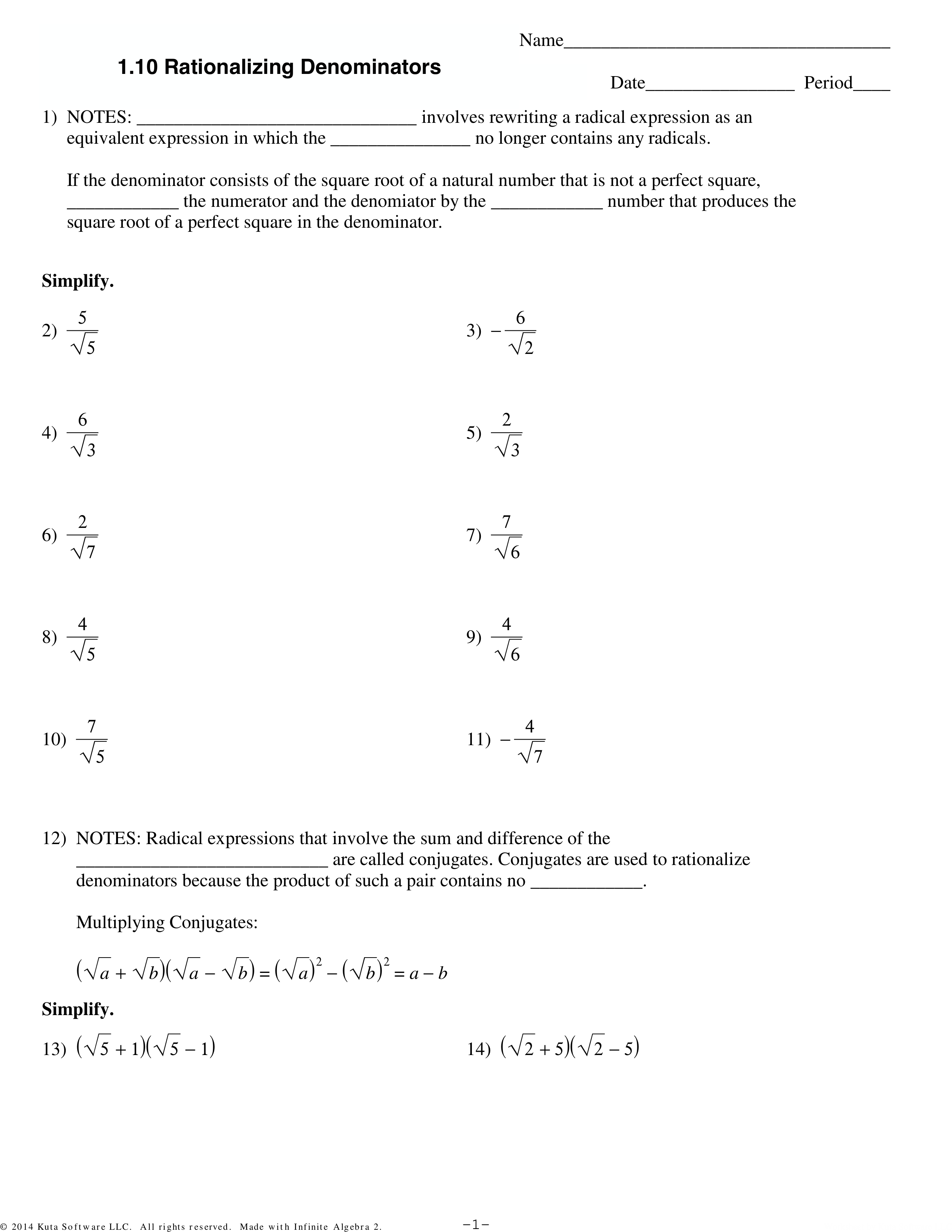
1.10 Rationalizing Denominators
By Ms. DuBois
star
star
star
star
star
Share
share
Last updated over 1 year ago
24 questions
Add this activity
1
2
3
4
5
6
7
8
9
10
11
12
zoom_in
1 point
1
Question 1
1.
visibility
View drawing
1 point
1
Question 2
2.
visibility
View drawing
1 point
1
Question 3
3.
visibility
View drawing
1 point
1
Question 4
4.
visibility
View drawing
1 point
1
Question 5
5.
visibility
View drawing
1 point
1
Question 6
6.
visibility
View drawing
1 point
1
Question 7
7.
visibility
View drawing
1 point
1
Question 8
8.
visibility
View drawing
1 point
1
Question 9
9.
visibility
View drawing
1 point
1
Question 10
10.
visibility
View drawing
1 point
1
Question 11
11.
visibility
View drawing
1 point
1
Question 12
12.
visibility
View drawing
13
14
15
16
17
18
19
20
21
22
23
24
zoom_in
1 point
1
Question 13
13.
visibility
View drawing
1 point
1
Question 14
14.
visibility
View drawing
1 point
1
Question 15
15.
visibility
View drawing
1 point
1
Question 16
16.
visibility
View drawing
1 point
1
Question 17
17.
visibility
View drawing
1 point
1
Question 18
18.
visibility
View drawing
1 point
1
Question 19
19.
visibility
View drawing
1 point
1
Question 20
20.
visibility
View drawing
1 point
1
Question 21
21.
visibility
View drawing
1 point
1
Question 22
22.
visibility
View drawing
1 point
1
Question 23
23.
visibility
View drawing
1 point
1
Question 24
24.
visibility
View drawing