Log in
Sign up for FREE
arrow_back
Library
GEO Ch.1+2 Review Exit Ticket
By Bailee Greer
star
star
star
star
star
Share
share
Last updated about 5 years ago
8 questions
Add this activity
Review Exit Ticket
1 point
1
Question 1
1.
True
False
1 point
1
Question 2
2.
True
False
1 point
1
Question 3
3.
True
False
1 point
1
Question 4
4.
Find YX.
1 point
1
Question 5
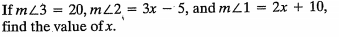
5.
1 point
1
Question 6
6.
visibility
View drawing
1 point
1
Question 7
7.
2. Distributive Property; 3. Subtraction Property of Equality; 4. Division Property of Equality
2. Distributive Property; 3. Addition Property of Equality; 4. Multiplication Property of Equality
2. Multiplication Property of Equality; 3. Addition Property of Equality; 4. Multiplication Property of Equality
2. Multiplication Property of Equality; 3. Subtraction Property of Equality; 4. Division Property of Equality
G.CO.1
1 point
1
Question 8
8.
5. -30 = 30x; 7. Reflexine Property
5. -30x = 30; 7. Symmetric Property
5. -30 = 30x; 7. Symmetric Property
5. -30x = 30; 7. Reflexive Property
G.CO.1