evaluate rational functions
star
star
star
star
star
Last updated almost 5 years ago
12 questions
1
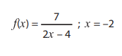
show your work
(i'm looking to see how you plugged in the number, and what the answer was. you can still use a calculator to simplify)
show your work
(i'm looking to see how you plugged in the number, and what the answer was. you can still use a calculator to simplify)
1
show your work(i'm looking to see how you plugged in the number, and what the answer was. you can still use a calculator to simplify)
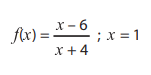
show your work
(i'm looking to see how you plugged in the number, and what the answer was. you can still use a calculator to simplify)
1
show your work(i'm looking to see how you plugged in the number, and what the answer was. you can still use a calculator to simplify)
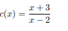
show your work
(i'm looking to see how you plugged in the number, and what the answer was. you can still use a calculator to simplify)
1
show your work(i'm looking to see how you plugged in the number, and what the answer was. you can still use a calculator to simplify)
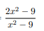
show your work
(i'm looking to see how you plugged in the number, and what the answer was. you can still use a calculator to simplify)

1
1
1
1
1
a rational function is any function with ___________________
a rational function is any function with ___________________
1
in the ufnction, x can't be __
in the ufnction, x can't be __
1
in the ufnction, x can't be __
in the ufnction, x can't be __
1
in the ufnction, x can't be __
in the ufnction, x can't be __
