asmpt and intercepts form eq
star
star
star
star
star
Last updated almost 5 years ago
13 questions
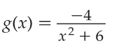
1
VA = _____________
VA = _____________
1
HA = _____________
HA = _____________
1
x-intercept(s) = _____________
x-intercept(s) = _____________
1
y-intercept = _____________
y-intercept = _____________
1
y-intercept = _____________
y-intercept = _____________
1
y-intercept(s) = _____________
y-intercept(s) = _____________
1
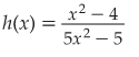
VA = _____________
VA = _____________
1
HA = _____________
HA = _____________
1
HA = _____________
HA = _____________
1
x-intercept(s) = _____________
x-intercept(s) = _____________
1
y-intercept = _____________
y-intercept = _____________
1
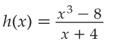
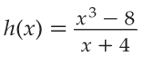
VA:
VA:
1
HA:
HA: