Day 6 - Review Formative
star
star
star
star
star
Last updated about 3 years ago
7 questions

2
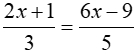
Solve for x.
Solve for x.
2
The solution of the equation 5 – 2x = -4x – 7 is
The solution of the equation
5 – 2x = -4x – 7 is
7
Sort the following equations into one solution, no solution or infinite solutions.
Sort the following equations into one solution, no solution or infinite solutions.
- 4p + 2 = 5p – 3 – p
- 4(x + 2) – 2x = 4x – 2
- 2(x + 4) + 3 = 2x + 6
- 4(x – 1) – 3x = -2x – 4 + 3x
- 4.5(x – 2) + 1.5x = 2(3x – 4) – 1
- 9w + 1 = 9(w + 1)
- ½(x – 6) + 1 = 2(x – 10) – 3
- One Solution
- No Solution
- Infinite Solutions
2
If 3ax + b = c, then x =
If 3ax + b = c, then x =
2
If a + ar = b + r, the value of a in terms of b and r can be expressed as
If a + ar = b + r, the value of a in terms of b and r can be expressed as
2
Which value of x is the solution of
Which value of x is the solution of
3
Solve for x. Type all steps in your answer.
Solve for x. Type all steps in your answer.