Log in
Sign up for FREE
arrow_back
Library
Quadric Surfaces Matching
By Peter Friedman
star
star
star
star
star
Share
share
Last updated over 5 years ago
1 question
Add this activity
6
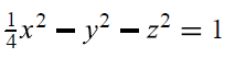
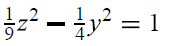
Question 1
1.
Match the equation to the graph.
Draggable item
arrow_right_alt
Corresponding Item
arrow_right_alt
arrow_right_alt
arrow_right_alt
arrow_right_alt
arrow_right_alt
arrow_right_alt