Log in
Sign up for FREE
arrow_back
Library

Unit 2A - Linear Equations Major Assessment

star
star
star
star
star
Last updated over 5 years ago
20 questions
Note from the author:
Foundations of Math 1 - Linear Equations Quick Test
1
1
1
1
1
1
1
1
1
1
1
1
1
1
1
1
1
1
1
1
Question 1
1.

Question 2
2.

Question 3
3.

Question 4
4.

Question 5
5.

Question 6
6.

Question 7
7.

Question 8
8.

Question 9
9.

Question 10
10.

Question 11
11.

Question 12
12.

Question 13
13.

Question 14
14.

Question 15
15.

Question 16
16.

Question 17
17.

Question 18
18.

Question 19
19.

Question 20
20.

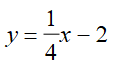
Find the slope.

A) 2
B) -2
C) -1/2
D) 1/2
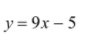
Find the slope.

A) 0
B) Undefined
C) 5
D) -5
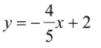
Find the slope.

A) 2
B) 4/5
C) -\frac{4}{5}
D) -2
Find the slope.

A) 9
B) -\frac{1}{9}
C) -9
D) 1/9
Find the slope.

A) -\frac{6}{17}
B) -\frac{17}{6}
C) \frac{17}{6}
D) 6/17
Find the slope.

A) Undefined
B) -\frac{1}{5}
C) 0
D) 1/5
Choose the correct graph.

Choose the correct graph.

Choose the correct graph.

Choose the correct graph.

Choose the correct graph.

Choose the correct graph.

Write the slope-intercept form of the equation of the line graphed.

A) y=-x+3
B) y=3x+3
C) y=2x+3
D) y=-3x+3
Write the slope-intercept form of the equation of the line graphed.

A) y=-\frac{3}{2}x-\frac{1}{2}
B) y=-\frac{1}{2}x-1
C) y=-x-\frac{1}{2}
D) y=\frac{1}{2}x-1
Write the slope-intercept form of the equation of the line with the given slope and y-intercept.

A) y=\frac{3}{4}x-3
B) y=x-3
C) y=\frac{1}{4}x-3
D) y=-3x-3
Write the slope-intercept form of the equation of the line with the given slope and y-intercept.

A) y=-x-1
B) y=-x-5
C) y=-5x-1
D) y=5x-1
Write the slope-intercept form of the line through the given point with the given slope. You may use Slope-Intercept or Point-Slope to do the work, but the final answer should be in y=mx+b.

A) y=\frac{3}{2}x-2
B) y=-\frac{3}{2}x-2
C) y=-2x-\frac{3}{2}
D) y=-\frac{5}{2}x-2
Write the slope-intercept form of the line through the given point with the given slope. You may use Slope-Intercept or Point-Slope to do the work, but the final answer should be in y=mx+b.

A) y=5x-4
B) y=-5x-4
C) y=4x-5
D) y=-4x-5
Write the slope-intercept form of the equation of the line through the given points.

A) y=-x+2
B) y=-3x+2
C) y=3x+2
D) y=x+2
Write the slope-intercept form of the equation of the line through the given points.

A) y=-\frac{3}{2}x+4
B) y=-x-\frac{3}{2}
C) y=4x-\frac{3}{2}
D) y=\frac{3}{2}x+4