HW Operations on Complex Numbers
star
star
star
star
star
Last updated over 2 years ago
20 questions
Note from the author:
Type all answers in the form a+bi.
Type all answers in the form a+bi.
1
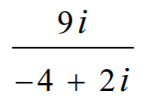
Rationalize the denominator and simplify completely:
Rationalize the denominator and simplify completely:
1
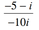
Rationalize the denominator and simplify completely:
Rationalize the denominator and simplify completely:
1
Rationalize the denominator and simplify completely: Write your answer in the form a+bi.
Rationalize the denominator and simplify completely:
Write your answer in the form a+bi.
1
Rationalize the denominator and simplify completely: Write your answer in the form a+bi.
Rationalize the denominator and simplify completely:
Write your answer in the form a+bi.
1
Rationalize the denominator and simplify completely: Write your answer in the form a+bi.
Rationalize the denominator and simplify completely:
Write your answer in the form a+bi.
1
Rationalize the denominator and simplify completely: Write your answer in the form a+bi.
Rationalize the denominator and simplify completely:
Write your answer in the form a+bi.
1
Rationalize the denominator and simplify completely: Write your answer in the form a+bi.
Rationalize the denominator and simplify completely:
Write your answer in the form a+bi.
1
Rationalize the denominator and simplify completely: Write your answer in the form a+bi.
Rationalize the denominator and simplify completely:
Write your answer in the form a+bi.
1
Add: Write your answer in the form a+bi.
Add:
Write your answer in the form a+bi.
1
Add: Write your answer in the form a+bi.
Add:
Write your answer in the form a+bi.
1
Subtract: Write your answer in the form a+bi.
Subtract:
Write your answer in the form a+bi.
1
Subtract: Write your answer in the form a+bi.
Subtract:
Write your answer in the form a+bi.
1
Simplify:
Write your answer in the form a+bi.
Simplify:
Write your answer in the form a+bi.
1
Simplify:
Write your answer in the form a+bi.
Simplify:
Write your answer in the form a+bi.
1
Multiply:
Write your answer in the form a+bi.
Multiply:
Write your answer in the form a+bi.
1
Multiply:
Write your answer in the form a+bi.
Multiply:
Write your answer in the form a+bi.
1
Multiply:
Write your answer in the form a+bi.
Multiply:
Write your answer in the form a+bi.
1
Multiply:
Write your answer in the form a+bi.
Multiply:
Write your answer in the form a+bi.
1
Multiply:
Multiply:
1
Multiply:
Write your answer in the form a+bi.
Multiply:
Write your answer in the form a+bi.