Log in
Sign up for FREE
arrow_back
Library
Unit 1 Test: Matrices Retake
By ANGELA RANCILIO
star
star
star
star
star
Share
share
Last updated over 5 years ago
11 questions
Add this activity
3
N.VM.7
3
N.VM.7
3
N.VM.7
N.VM.8
3
N.VM.7
N.VM.8
3
N.VM.8
3
N.VM.8
3
N.VM.8
3
N.VM.8
3
N.VM.8
3
N.VM.8
3
N.VM.8
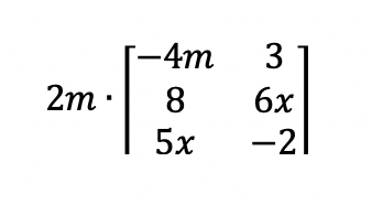
Question 1
1.
Multiply the matrix by the Scalar. Show all work.
visibility
View drawing
Question 2
2.
Multiply the matrix by the Scalar. Show all work.
visibility
View drawing
Question 3
3.
Solve the following problem. Choose from one of the answers below. Show all work.
[-35 2 -4 6]
[13 14 -22 -30]
[-35 -10 20 -30]
[35 2 4 6]
Question 4
4.
Solve the following problem. Choose from one of the answers below. Show all work.
[3 - 2y 0 7y - 2x + 4]
[3 + 2y 0 7y + 2x - 4]
[3 - 2y -4x -2x + 7y +4]
[3 + 2y -4x -2x + 7y + 4]
Question 5
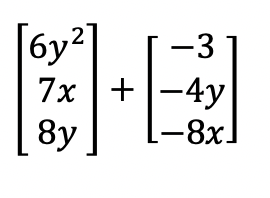
5.
Add the following matrices. Show all work.
visibility
View drawing
Question 6
6.
Add the following matrices. Show all work.
visibility
View drawing
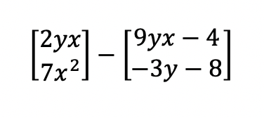
Question 7
7.
Subtract the following matrices. Show all work.
visibility
View drawing
Question 8
8.
Subtract the following matrices. Show all work.
visibility
View drawing
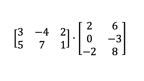
Question 9
9.
Multiply the following matrices. Show all work.
visibility
View drawing
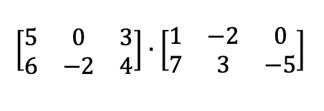
Question 10
10.
Multiply the following matrices. Show all work.
visibility
View drawing
Question 11
11.
The dimensions of matrix M is [3x2]. The dimensions of matrix P is [2x3]. Explain the differences when multiplying MP versus multiplying PM.
visibility
View drawing