Log in
Sign up for FREE
arrow_back
Library

Ch 4 Day 5 Re-Quiz: Comparing Quantitative Data Displays

star
star
star
star
star
Last updated almost 5 years ago
20 questions
4
6
6
4
6
4
4
4
4
4
4
4
3
4
6
4
4
4
4
4
Question 1
1.

Suppose a bass fishing contest measured each contestant's fish in inches but then to comply with international regulations converted the measurements to centimeters. (1 inch=2.54 cm)

1. Is this a shift or a scale?
2. How do you know?

Make sure to select 2 correct answers below.

Question 2
2.

Question 3
3.

Suppose a bass fishing contest measured each contestant's fish in inches but then to comply with international regulations converted the measurements to centimeters. (1 inch=2.54 cm)

If the range was 7.25 inches prior to changing to centimeters, what will the new range be?

Question 4
4.

Suppose a bass fishing contest weighed each contestant's fish in ounces but then realized that scale had been off. Each fish was weighed 2.5 ounces too heavy.

1. Is this a shift or a scale?
2. How do you know?

Make sure to select 2 correct answers below.

Question 5
5.

Question 6
6.

Suppose a bass fishing contest weighed each contestant's fish in ounces but then realized that scale had been off. Each fish weighed 2.5 ounces too heavy.

If the original range for the fish weights was 12.35 ounces, what would the new weight range be?

Enter your answer below.

Question 7
7.

Question 8
8.

Here are some summary statistics for the Clarksburg Bakery in sales of their bread loaves during May:

Min: Q1: Med: Q3: Max: Mean:
# loaves: 95 97 100 105.5 144 110.5

What is the IQR of the data set for # loaves sold?

Question 9
9.

Here are some summary statistics for the Clarksburg Bakery in sales of their bread loaves each day during May:

Min: Q1: Med: Q3: Max: Mean:
# loaves: 95 97 100 105.5 144 110.5

Use the IQR you calculated in #8 and the fact that the price of each loaf was $4.25.

Determine the new IQR once the money collected was calculated for each day based on # loaves sold.
If needed round to two places past the decimal point since it is $.

Question 10
10.

A study examining the health risks of smoking measured the cholesterol levels of people who had smoked for at least 25 years and people of similar ages who had smoked for no more than 5 years and then stopped.
n=15 for both lists of data.

Smokers for 25+ yrs: 225, 258, 250, 225, 213, 232, 216, 216, 178, 287, 200, 211, 216, 200, 256
Ex-smokers: 188, 174, 213, 134, 217, 217, 242, 192, 238, 200, 210, 160, 175, 249, 250

Enter your data into your calculator.
1. Stat, Edit, L1: Smokers cholesterol levels

2. Stat, Edit, L2: Ex-smokers cholesterol levels

3. Display stacked boxplots for the two data sets:

Turn Statplot #1 ON (2nd, y=, Statplot#1), choose the modified boxplot (next to the histogram),
Xlist: L1 (2nd, 1), Freq=1

Turn Statplot #2 ON (Statplot #2, enter), choose the modified boxplot (next to the histogram),
change Xlist: L2 (2nd, 2), Freq=1

4. Zoom 9 to display the stacked boxplots. Remember that the smokers data is displayed on top,

Remember: Smokers are the top boxplot and Ex-smokers are the bottom boxplot.

Compare the two boxplots, noting the location of the quartiles. Rotate your calculator to the side if this helps you see the quartiles for comparison.

Using the quartiles, what percent of the Ex-smokers cholesterol levels were lower than 100% of the smokers cholesterol levels?

Question 11
11.

A study examining the health risks of smoking measured the cholesterol levels of people who had smoked for at least 25 years and people of similar ages who had smoked for no more than 5 years and then stopped.
n=15 for both lists of data.

Smokers for 25+ yrs: 225, 258, 250, 225, 213, 232, 216, 216, 178, 287, 200, 211, 216, 200, 256

Ex-smokers: 188, 174, 213, 134, 217, 217, 242, 192, 238, 200, 210, 160, 175, 249, 250

Compare the two boxplots you created for #10.

What is a true statement below?

Question 12
12.

A study examining the health risks of smoking measured the cholesterol levels of people who had smoked for at least 25 years and people of similar ages who had smoked for no more than 5 years and then stopped.
n=15 for both lists of data.

Smokers for 25+ yrs: 225, 258, 250, 225, 213, 232, 216, 216, 178, 287, 200, 211, 216, 200, 256

Ex-smokers: 188, 174, 213, 134, 217, 217, 242, 192, 238, 200, 210, 160, 175, 249, 250

Using the quartiles, what percent of the Smokers cholesterol levels were higher than 75% of the ex-smokers cholesterol levels?

Question 13
13.

Question 14
14.

To help travelers know what to expect, researchers collected the prices of commodities in 16 cities throughout the world.
Here are boxplots comparing the prices of a ride on public transportation, a newspaper, and a cup of coffee in the 16 cities (pries are all in US$).


Compare the boxplots for the three commodities.

Using the quartiles of the boxplots, what percent of the Newspaper prices are greater than 25% of the Public Transportation prices?

Question 15
15.

Question 16
16.

Question 17
17.

Question 18
18.

Question 19
19.

Use the side by side boxplots above to compare the data on fuel efficiency for 4, 6, and 8 cylinder cars.

Which group of cars has the most variability and how do you know?

Question 20
20.

Use the side by side boxplots above to compare the data on fuel efficiency for 4, 6, and 8 cylinder cars.

Use the quartiles: What percent of the 6 cylinder cars have better fuel efficiency than 75% of the 8 cylinder cars?

This was a scale.
Each fish length has a constant added to or subtracted from it.
Suppose a bass fishing contest measured each contestant's fish in inches but then to comply with international regulations converted the measurements to centimeters. (1 inch=2.54 cm)

Select all the statistics below that would change.

Make sure to select ALL the correct answers from the list below.
Standard Deviation.
Median.
IQR.
Q1 & Q3.
Range.
This is a shift.
Each fish weight has a constant added to or subtracted from it.
Suppose a bass fishing contest weighed each contestant's fish in ounces but then realized that scale had been off. Each fish weighted 2.5 ounces too heavy.

Which statistics listed below would change?

Make sure to select ALL the correct answers from the list below.
Standard Deviation
Mean
Range
IQR
Median
Here are some summary statistics for the Clarksburg Bakery in sales of their bread loaves during May:

Min: Q1: Med: Q3: Max: Mean:
# loaves: 95 97 100 105.5 144 110.5

Compare the mean to the median.
Which is larger?

What does this mean about the shape of the data distribution?
The median is less than the mean
The mean and median are roughly equal
The mean is less than the median
The shape is symmetric
The shape is skewed right
100% of Ex-smokers choleterol levels are lower than 50% of Smokers choleterol levels.
75% of smokers cholesterol levels are higher than 50% of Ex-smokers cholesterol levels.
75% of Smokers cholesterol levels are higher than 100% of Ex-smokers cholesterol levels.
Medians for both groups are roughly the same.
The dotplots below compare data gathered on the of sugar grams per serving for adult and children's cereals.


Compare the two sets of data: center, spread, unusual points, shape.

Select 3 correct statements from the list below:
The children's center is higher at about 11-12 grams.
The adult and children's cereal data have the same spread.
The adult's cereal has a larger spread.
The adult's data has a higher center at about 4-5 grams of sugar.
The adult's cereal data is skewed right and the children's cereal data is skewed left.
Both sets of data are skewed right.
Both sets of data are skewed left.
The children's cereal has a larger spread.
The centers for both groups are about the same.
The scores on a state standardized EOC Test are compared below between History and English classes.

Use the key: 3 | 2 | 7 means 27 for Males and 23 for Females.


Use the key: 3 | 2 | 7 means 27 for Males and 23 for Females.

Compare the shapes of the back to back stemplots.

Select the three best answers to describe the shapes of the data distributions.
The centers are about the same for the Females and Males.
The center for the Females is higher than the center for the Males.
The center for the Females is lower than the center for the Males.
Females have a higher range than Males.
Males have a higher range than Females.
Both Males and Females have the same range.
Both Males and Females are roughly symmetric.
Both Females and Males are skewed left.
Both Males and Females are skewed right.
Shown below are the summary statistics for the number of camp sites at public parks in Vermont.

Use the calculated statistics to answer the question below:

Count: 46 parks
Mean: 62.8 camp sites
Median: 43.5 camp sites
Std. Dev: 56.2 camp sites
Min: 0 camp sites
Max: 275 camp sites
Q1: 28 camp sites
Q3: 78 camp sites

1. Compare the mean to the median, which is larger?
2. Use this information to determine information about the shape of the histogram for the data.

Choose two correct answers below.
The data display would show a histogram that is roughly symmetric.
The data would give a histogram that is skewed left.
The mean is roughly equal to the median (withing 1%).
The median is greater than the mean.
The mean is greater than the median.
Not enough information is provided to determine the shape of the histogram.
The data display would show a histogram that is skewed right.
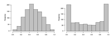
Using the data display shown by the histogram below:


Compare the two histograms above, they have the same center and spread.

Which boxplot will have a larger IQR, the left or the right?

Explain how you know.

Select 2 correct answers below.
The right histogram has peaks at each extreme, causing the IQR to be smaller.
The left histogram is symmetric with more data clustered in the center and the IQR to be larger.
Observe the histogram above, consider the median versus the mean.

Which will be larger?

How do you know?

Select both answers below.
The left skew pulls the mean lower.
The right skew pulls the mean higher.
Mean is larger than the median.
The right skew pulls the mean lower.
Mean and median are roughly equal.
The left skew pulls the mean higher.
Median is larger than the mean.
It cannot be determined without actual data values.