Log in
Sign up for FREE
arrow_back
Library
Unit 4 Retake
By Kevin Rzeszutko
star
star
star
star
star
Share
share
Last updated over 5 years ago
6 questions
Add this activity
1
Question 1
1.
visibility
View drawing
1
1
1
1
1
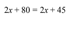
Solve the equation below and show all work.
Question 2
2.
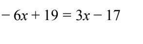
Solve the equation below and show all work.
visibility
View drawing
Question 3
3.
Solve the equation below and show all work.
visibility
View drawing
Question 4
4.
Solve the equation below and show all work.
visibility
View drawing
Question 5
5.
Solve the equation below and show all work.
visibility
View drawing
Question 6
6.
Solve the equation below and show all work.
visibility
View drawing