Log in
Sign up for FREE
arrow_back
Library

11/6 Ratios and Proportions

star
star
star
star
star
Last updated almost 2 years ago
12 questions
8.3
8.3
8.3
8.3
8.3
8.3
8.3
8.3
8.3
8.3
8.3
8.3
Question 1
1.

Out of a survey of 1000 households, 460 had at least one dog or cat as a pet. What is the ratio of pet owners to households?

Question 2
2.

The ratio of the measures of three sides of a triangle is 2:5:4, and its perimeter is 165 units. Find the measure of each side of the triangle. (Hint: the equation is going to be
2x+5x+4x=165)(make sure to plug the value of x back into each to find the final answer)

Question 3
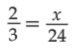
3.

Solve for x.

Question 4
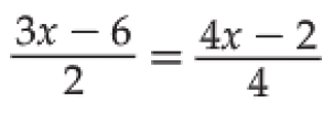
4.

Solve for x.

Question 5
5.

The ratio of the measures of the three sides of a triangle is 9:7:5. Its perimeter is 191.1 inches. Find the measure of each side.
9x+7x+5x=191.1

Question 6
6.

The ratio of the measures of the three sides of a triangle is 3:7:5, and its perimeter is 156.8 meters. Find the measure of each side.

Question 7
7.


Since this is talking about the angles of a triangle they will add to 180. The equation will look like this
3x+6x+1x=180

Question 8
8.


Question 9
9.

Solve for y.

Question 10
10.

Solve for x.

Question 11
11.

Solve for x.

Question 12
12.

Solve for x.

x = 18, 34°, 98°, 38°
x = 9, 33°, 45°, 82°