Log in
Sign up for FREE
arrow_back
Library
Day 56, Elimination Part 2 Giles
By Alycia Giles
star
star
star
star
star
Share
share
Last updated about 5 years ago
6 questions
Add this activity
1 point
1
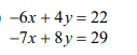
Question 1
1.
1 point
1
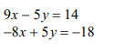
Question 2
2.
1 point
1
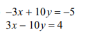
Question 3
3.
1 point
1
Question 4
4.
1 point
1
Question 5
5.
1 point
1
Question 6
6.