11/10 Applying Proportions in Triangles
star
star
star
star
star
Last updated over 1 year ago
10 questions


10
10
10
You will have to solve for x first.
Then plug x back into the 2 places. SR and RQ.
You will have to solve for x first.
Then plug x back into the 2 places. SR and RQ.
10
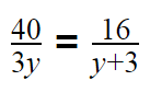
You will have to solve for y first.
Then plug y back into the 2 places. BE and DE.
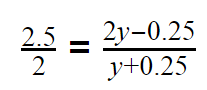
You will have to solve for y first.
Then plug y back into the 2 places. BE and DE.
10
10
10
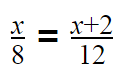
You will have to solve for x first.
Then plug it back in.
You will have to solve for x first.
Then plug it back in.
10
10
10

