Log in
Sign up for FREE
arrow_back
Library

11/11 Parallel Line Proportional Parts Triangles

star
star
star
star
star
Last updated almost 2 years ago
10 questions
10
10
10
10
10
10
10
10
10
10
Question 1
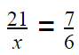
1.


Question 2
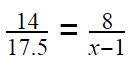
2.


Question 3
3.


Question 4
4.

Notice the little congrunet marks on the segments with x. That means that are so equal. So First solve 2x+1 = x+7 to find the value of x. Then since those are congruent the segments with are being proportional are going to be congruent also. So solve 3y-8 = y+5 to find the value of y.

Question 5
5.

Question 6
6.

Question 7
7.

Question 8
8.

This turns out to be a quadractic function. It will be easier to plug the answer choices back in up into the figure and see which answer makes sense.

Question 9
9.

This one is very similar to problem #4.

Question 10
10.