Log in
Sign up for FREE
arrow_back
Library
Unit 6 Video 35 Your Turn
By James M Schaper
star
star
star
star
star
Share
share
Last updated over 1 year ago
7 questions
Add this activity
1 point
1
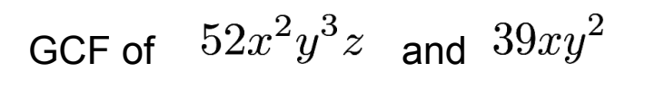
Question 1
1.
1 point
1
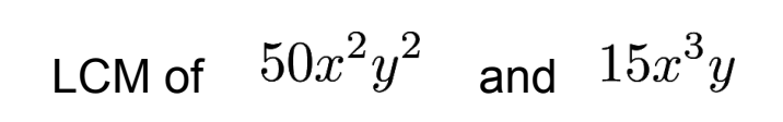
Question 2
2.
1 point
1
Question 3
3.
1 point
1
Question 4
4.
0 points
0
Question 5
5.
Optional Challenge:
0 points
0
Question 6
6.
Optional Challenge:
0 points
0
Question 7
7.
Optional Challenge: