Log in
Sign up for FREE
arrow_back
Library

3.17 Dimesional Analysis Practice

star
star
star
star
star
Last updated almost 4 years ago
6 questions
1
1
1
1
1
1
Dimensional Analysis: A mathematical system that uses conversion factors to change from one unit of measurement to a different unit of measurement.

Equivalence Statement: A statement that relates the same amount (quantity) in 2 different units.
Examples: 2.54cenimeters=1inch, 12inches=1foot, 8fluid ounces=1cup

Conversion Factors: Fractions used to express measurements from one unit to another unit.
Examples: 2.54cm/1in,1in/2.54cm
12in/1ft,1ft/12in
8fl. oz/1cup,1cup/8fl. oz
The goal of dimensional analysis is to make the units "cancel out" to 1.
The Process

1.Determine your equivalence statement and possible conversion factors.

2.Start with the units you are converting from, written as a fraction.

3.Choose the correct conversion factor to make the units cancel out and multiply by it.

4.Cancel out your units.

5.Multiply the remaining numbers to get your answer.

6.Simplify all answers, when possible.
Helpful Hints:

1. When multiplying fractions, multiply numbers in numerators (straight across) and multiply numbers in denominators (straight across).

2. Units can only be "cancelled" if they are in the numerator(top) and denominator(bottom).

3.
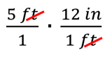
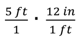
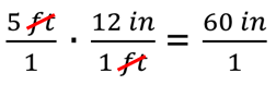
Example 1: Convert 5 feet to inches.

1. Determine your equivalence statement and possible conversion factors.

Equivalence Statement: 1ft=12in
Possible conversion factors: 1ft/12in, 12in/1ft
2. Start with the units you are converting from, written as a fraction.

5ft/1
3. Choose the correct conversion factor to make the units cancel out and multiply by it.
(Remember: In order to cancel out units(we want to cancel the feet), the units must be in the numerator and denominator.)


4.Cancel out your units.


5.Multiply the remaining numbers to get your answer.



6.Simplify all answers, when possible.



Answer: 60 inches
Example 2: A new baby weighs 7.8 lb, What is it’s mass in kilograms?

1. Determine your equivalence statement and possible conversion factors.
Equivalence Statement: 1kg=2.205 lb
Possible conversion factors: 1kg/2.205lb, 2.205lb/1kg

2. Start with the units you are converting from, written as a fraction.


3. Choose the correct conversion factor to make the units cancel out and multiply by it.
(Remember: In order to cancel out units(we want to cancel the feet), the units must be in the numerator and denominator.)


4.Cancel out your units.


5.Multiply the remaining numbers to get your answer.

7.8 kg/2.205

6.Simplify all answers, when possible.
7.8 kg/2.205=3.5 kg
Answer: 3.5 kilograms
DIRECTIONS: Solve each problem using dimensional analysis. Every number must have a unit. Conversion factors are given above.
Question 1
1.

How many miles will a person run during a 10 kilometer race?

Question 2
2.

The park is 250,000 feet away. How many miles away is the park? Round to the nearest tenths place.

Question 3
3.

A family pool holds 10,000 gallons of water. How many cubic meters is this? (Round answer to the nearest hundredth)

Question 4
4.

The average American student is in class 330 minutes/day. How many seconds/day is this?

Question 5
5.

The average American student is in class 330 minutes/day. How many hours/day is this?

Question 6
6.

How many seconds are there in 1 year? Show your work