Nuclear Equations Quiz
star
star
star
star
star
Last updated about 5 years ago
14 questions
1
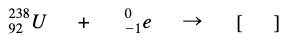
Identify the missing particle.
Identify the missing particle.
1
Identify the missing particle.
Identify the missing particle.
1
Identify the missing particle.
Identify the missing particle.
1
Identify the missing particle.
Identify the missing particle.
1
Identify the missing particle.
Identify the missing particle.
1
Identify the missing particle.
Identify the missing particle.
1
Identify the missing particle.
Identify the missing particle.
1
For questions #8 - 14, identify the equation type. The options are alpha decay, beta decay, positron emission, electron capture, fission, fusion, and nuclear bombardment.
What type of equation is shown in #1?
For questions #8 - 14, identify the equation type. The options are alpha decay, beta decay, positron emission, electron capture, fission, fusion, and nuclear bombardment.
What type of equation is shown in #1?
1
What type of equation is shown in #2?
What type of equation is shown in #2?
1
What type of equation is shown in #3?
What type of equation is shown in #3?
1
What type of equation is shown in #4?
What type of equation is shown in #4?
1
What type of equation is shown in #5?
What type of equation is shown in #5?
1
What type of equation is shown in #6?
What type of equation is shown in #6?
1
What type of equation is shown in #7?
What type of equation is shown in #7?