Log in
Sign up for FREE
arrow_back
Library

LRIS 6.1 Honors Assignment

star
star
star
star
star
Last updated over 5 years ago
23 questions
1
1
1
1
1
1
1
1
1
1
1
1
1
1
1
1
1
1
1
1
1
1
1
Question 1
1.


Question 2
2.


Question 3
3.


Question 4
4.


Question 5
5.



Question 6
6.

Question 7
7.

Question 8
8.

Question 9
9.

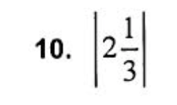
Question 10
10.

Question 11
11.

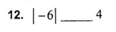
Question 12
12.

Question 13
13.

Question 14
14.

Question 15
15.

Question 16
16.

Order the values from LEAST to GREATEST.

  1. |4|
  2. |5|
  3. |-1|
  4. 8
  5. -1
Question 17
17.


Order the values from LEAST to GREATEST.

  1. 6
  2. |5|
  3. 0
  4. |3|
  5. |2|
Question 18
18.

Question 19
19.

Question 20
20.

Question 21
21.


Question 22
22.


Question 23
23.