Log in
Sign up for FREE
arrow_back
Library
LRIS 6.4 Honors Assignment PURPLE
By Tom Kurtz
star
star
star
star
star
Share
share
Last updated about 5 years ago
37 questions
Add this activity
1 point
1
Question 1
1.
Always true
Sometimes true
Never true
1 point
1
Question 2
2.
Always true
Sometimes true
Never true
1 point
1
Question 3
3.
Always true
Sometimes true
Never true
1 point
1
Question 4
4.
Always true
Sometimes true
Never true
1 point
1
Question 5
5.
Always true
Sometimes true
Never true
1 point
1
Question 6
6.
Always true
Sometimes true
Never true
1 point
1
Question 7
7.
Always true
Sometimes true
Never true
1 point
1
Question 8
8.
Always true
Sometimes true
Never true
1 point
1
Question 9
9.
All integers
All positive integers
All negative integers
All positive integers and zero
All negative integers and zero
None
1 point
1
Question 10
10.
All integers
All positive integers
All negative integers
All positive integers and zero
All negative integers and zero
None
1 point
1
Question 11
11.
All integers
All positive integers
All negative integers
All positive integers and zero
All negative integers and zero
None
1 point
1
Question 12
12.
All integers
All positive integers
All negative integers
All positive integers and zero
All negative integers and zero
None
1 point
1
Question 13
13.
All integers
All positive integers
All negative integers
All positive integers and zero
All negative integers and zero
None
1 point
1
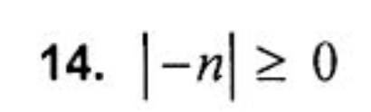
Question 14
14.
All integers
All positive integers
All negative integers
All positive integers and zero
All negative integers and zero
None
1 point
1
Question 15
15.
All integers
All positive integers
All negative integers
All positive integers and zero
All negative integers and zero
None
1 point
1
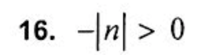
Question 16
16.
All integers
All positive integers
All negative integers
All positive integers and zero
All negative integers and zero
None
1 point
1
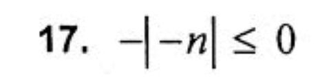
Question 17
17.
All integers
All positive integers
All negative integers
All positive integers and zero
All negative integers and zero
None
1 point
1
Question 18
18.
All integers
All positive integers
All negative integers
All positive integers and zero
All negative integers and zero
None
1 point
1
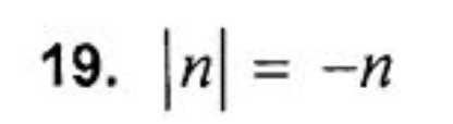
Question 19
19.
All integers
All positive integers
All negative integers
All positive integers and zero
All negative integers and zero
None
1 point
1
Question 20
20.
All integers
All positive integers
All negative integers
All positive integers and zero
All negative integers and zero
None
1 point
1
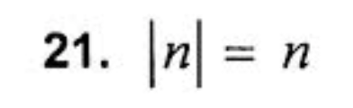
Question 21
21.
All integers
All positive integers
All negative integers
All positive integers and zero
All negative integers and zero
None
1 point
1
Question 22
22.
All integers
All positive integers
All negative integers
All positive integers and zero
All negative integers and zero
None
1 point
1
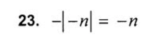
Question 23
23.
All integers
All positive integers
All negative integers
All positive integers and zero
All negative integers and zero
None
1 point
1
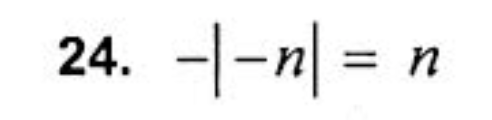
Question 24
24.
All integers
All positive integers
All negative integers
All positive integers and zero
All negative integers and zero
None
1 point
1
Question 25
25.
All integers
All positive integers
All negative integers
All positive integers and zero
All negative integers and zero
None
1 point
1
Question 26
26.
All integers
All positive integers
All negative integers
All positive integers and zero
All negative integers and zero
None
1 point
1
Question 27
27.
All integers
All positive integers
All negative integers
All positive integers and zero
All negative integers and zero
None
1 point
1
Question 28
28.
All integers
All positive integers
All negative integers
All positive integers and zero
All negative integers and zero
None
1 point
1
Question 29
29.
All integers
All positive integers
All negative integers
All positive integers and zero
All negative integers and zero
None
1 point
1
Question 30
30.
All integers
All positive integers
All negative integers
All positive integers and zero
All negative integers and zero
None
1 point
1
Question 31
31.
All integers
All positive integers
All negative integers
All positive integers and zero
All negative integers and zero
None
1 point
1
Question 32
32.
All integers
All positive integers
All negative integers
All positive integers and zero
All negative integers and zero
None
1 point
1
Question 33
33.
All integers
All positive integers
All negative integers
All positive integers and zero
All negative integers and zero
None
1 point
1
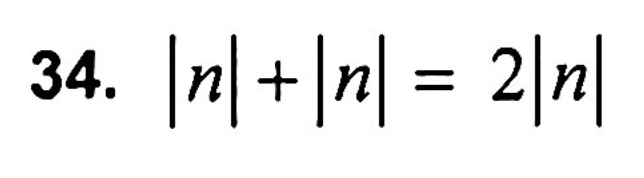
Question 34
34.
All integers
All positive integers
All negative integers
All positive integers and zero
All negative integers and zero
None
1 point
1
Question 35
35.
All integers
All positive integers
All negative integers
All positive integers and zero
All negative integers and zero
None
1 point
1
Question 36
36.
All integers
All positive integers
All negative integers
All positive integers and zero
All negative integers and zero
None
1 point
1
Question 37
37.
All integers
All positive integers
All negative integers
All positive integers and zero
All negative integers and zero
None