Study guide (graded) for Quiz #5 - unit 3 lessons 1 and 2
star
star
star
star
star
Last updated about 5 years ago
10 questions
10 points
10
Question 1
1.
Which is the correct expanded form of the number 3,465?
10 points
10
Question 2
2.
What is the name of the place value the 4 is in?
10 points
10
Question 3
3.
In the number 5,324.679 which digit is in the hundredths place?
10 points
10
Question 4
4.
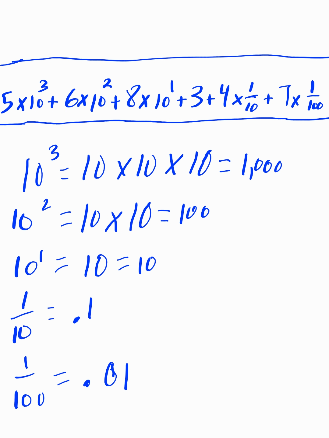
Which choice is the standard form of the expanded number below?
10 points
10
Question 5
5.
The most important thing to remember when ADDING OR SUBTRACTING DECIMALS is...... (example: .25 + 3.4 or 7.54 - 3.25)
10 points
10
Question 6
6.
Add: 5.31 + 2.4
10 points
10
Question 7
7.
Subtract. 24.35 - 8.9
10 points
10
Question 8
8.
Subtract. 9 - 1.45
10 points
10
Question 9
9.
Joe Shmo spends $2.75 on a slice of pizza and $1.75 on a soda. How much did his meal cost (not including the obvious cost to his health for eating unhealthy!) SHOW ALL WORK ON THE COMPUTER!!!!
10 points
10
Question 10
10.
A pumpkin weighs 3.45 pounds before it gets carved. After some "minor surgery," it weighs 1.07 ounds less. What is its new weight? SHOW ALL WORK ON THE COMPUTER!!!