Log in
Sign up for FREE
arrow_back
Library

Topic 4.1

star
star
star
star
star
Last updated over 5 years ago
5 questions
1
1
1
1
1
Question 1
1.

Question 2
2.

Question 3
3.

Question 4
4.

Question 5
5.

Is the ordered pair (1, 3) a solution to the system


True
False
Is the ordered pair (3, 4) a solution to the system


True
False
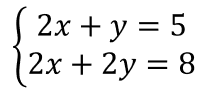
Which is a solution to the system shown

No Solution
Infinite Solutions
What is the solution to the system?

No Solution
Infinite Solutions
Jack has $20 in his account and plans to deposit $5 each week. Jill has $5 in her savings account and plans to deposit $10 each week. After how many weeks will they have the same amount of money in their accounts? What is that amount?
3 weeks, $40
4 weeks, $45
4 weeks, $40
3 weeks, $35
4 weeks, $35
They will never have the same amount
3 weeks, $30