Log in
Sign up for FREE
arrow_back
Library

Topic 4.2

star
star
star
star
star
Last updated about 5 years ago
5 questions
1
Question 1
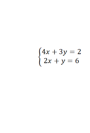
1.

Solve by substitution

1
Question 2
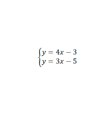
2.

1
1
1
Solve by substitution


Question 3
3.

Question 4
4.

You're solving a system of linear equations using substitution. Once you find the fist answer, you're done.

Question 5
5.

You're solving a system of linear equations using substitution. This means that you graph each line and use the point of intersection as your solution.

The cost of 5 books and 10 pencils is $36. The cost of 2 books and 40 pencils is $18. How much do books cost and how much do pencils cost?
Books cost $7
Books cost $5
Books cost $6
Books cost $10
Pencils cost $.10
Pencils cost $.20
Pencils cost $.30
Pencils cost $1
I don't buy pencils, which is why I'm never prepared for class.
What's a book?