Log in
Sign up for FREE
arrow_back
Library
Topic 4.3
By Kevin Struble
star
star
star
star
star
Share
share
Last updated about 5 years ago
5 questions
Add this activity
1
1
1
1
1
Question 1
1.
Subtract the equations
Quit school and join the circus
Question 2
2.
You want to solve the system
What should be your first step?
Graph the equations
Question 3
3.
Question 4
4.
Question 5
5.
You're solving a system of equations by elimination. After you solve for one variable, what should you do next?
Check our answers.
Back substitute
Repeat the procedure to eliminate the other variable.
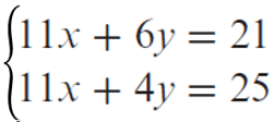
You want to solve the system
What should be your first step?
Use substitution
Graph the equations
Mulitply the bottom equation by -3
Add the equations
Use substitution
Subtract the equations
Go pro in <insert sport here>
Add the equations
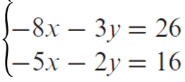
You want to solve the system
What should be your first step?
Add the equations
Multiply the upper equation by 3
Graph the equations
Use substitution
When will I ever need this in real life?
Subtract the equations
Multiply the lower equation by 5
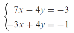
You want to solve the system
What should be your first step?
Is the circus still in town?
Use substitution
Multiply the upper equation by 5 and the lower equation by 8
Graph the equations
Subtract the equations
Multiply the upper equation by 3 and the lower equation by -3
Add the equations
Graph the equations.
Celebrate because we're done.