Log in
Sign up for FREE
arrow_back
Library

Rational Number Operations Quiz

star
star
star
star
star
Last updated almost 5 years ago
10 questions
1
1
1
1
1
1
1
1
1
1
Directions: These are all multiple choice questions but you must show and submit all work at the end of the quiz.
Question 1
1.

Question 2
2.

Question 3
3.

Question 4
4.

Question 5
5.

Question 6
6.

Question 7
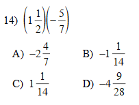
7.

Question 8
8.

Question 9
9.

Question 10
10.

For virtual students only. Submit a photo of your work for all problems. If you are not able to take a clear photo with your computer, you will take one on your phone and send it to me.