Log in
Sign up for FREE
arrow_back
Library

A4 Test- Systems of Equations

star
star
star
star
star
Last updated almost 5 years ago
9 questions
2
2
9
9
9
9
4
3
3
C-level
Question 1
1.

Question 2
2.

Question 3
3.

Write a system of equations to represent this situation.

Tony has $500 and has been saving $50 per day. Pepper has $3500 and has been spending $50 per day. How long until they have the same amount of money?

To type your equations in, type the first equation with no spaces, then a comma, then a space, then type your second equation. DO NOT SOLVE IT.

Question 4
4.

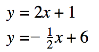
Find the solution to the system of equations by graphing.




Don't forget to type your answer in the blank.

Question 5
5.

Solve the system of equations below algebraically.


You will only receive full credit if all your steps are showing and your answer is in (x,y) form. You may do your work on paper, take a picture, and post it here if you prefer. Don't forget to type your answer in the blank.

Question 6
6.

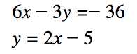
Solve the system of equations algebraically.


You will only receive full credit if all your steps are showing and your answer is in (x,y) form. You may do your work on paper, take a picture, and post it here if you prefer. Don't forget to type your answer in the blank.

A/B Level
Question 7
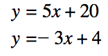
7.

Solve the system of equations algebraically.


You will only receive full credit if all your steps are showing and your answer is in (x,y) form. You may do your work on paper, take a picture, and post it here if you prefer. Don't forget to type your answer in the blank.

Question 8
8.

Create a system of equations that has a solution of (-4,1).

Question 9
9.

Explain why the system of equations below will not have a solution. Give one reason that you are sure of your answer.
You may type your explanation and/or show your work, but be sure to be very clear in your explanation.

When we solve a system of equations, what are we trying to find?
The (x,y) values where two lines intersect.
The values for the two variables that make both equations true.
The x value that will give the same y value for both equations.
All of the above.
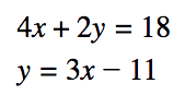
What is the solution to this system of equations?
None of these.
(-3,-12)
(-3,12)
(3,-12)
(3,12)