Alg 3.2.3 HW 3-58 to 3-63
star
star
star
star
star
Last updated over 4 years ago
16 questions
1
a. write the area as a product
a. write the area as a product
1
a. write the area as a sum (start with the x squared tiles)
a. write the area as a sum (start with the x squared tiles)
1
b. write the area as a product
b. write the area as a product
1
b. write the area as a sum (start with the x squared tiles)
b. write the area as a sum (start with the x squared tiles)
1
Write the total rae of each rectangle below. Be sure to fill in the dimensions along the sides of the rectangles also.
Write the total rae of each rectangle below. Be sure to fill in the dimensions along the sides of the rectangles also.
1
Solve for x
Solve for x
1
Solve for x
Solve for x
1
Solve for x
Solve for x
1
Solve for x.
Solve for x.
1
How much does his package weight?
How much does his package weight?
1
You can use the graph below to help you
You can use the graph below to help you
1
What is the slope (write your slope as a fraction not a decimal)
What is the slope (write your slope as a fraction not a decimal)
1
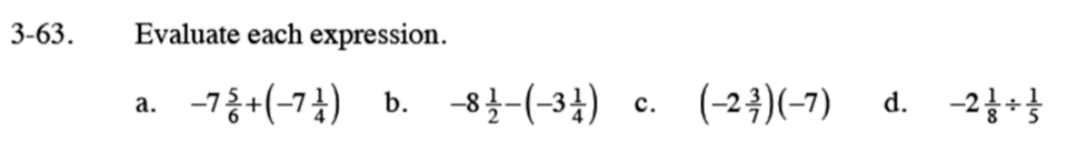
Write your answer as a mixed number if necessary.
Write your answer as a mixed number if necessary.
1
Write your answer as a mixed number if necessary.
Write your answer as a mixed number if necessary.
1
Write your answer as a mixed number if necessary.
Write your answer as a mixed number if necessary.
1
Write your answer as a mixed number if necessary.
Write your answer as a mixed number if necessary.