Topic 4.5
star
star
star
star
star
Last updated almost 5 years ago
5 questions
1
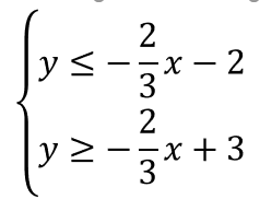
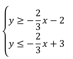
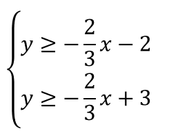
Match the system of linear inequalities with their graph
Match the system of linear inequalities with their graph
1
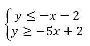
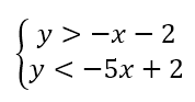
Match the system of linear inequalities with their graph
Match the system of linear inequalities with their graph
1
Given the system of linear inequaliites graphed below, which points could be solutions?
Given the system of linear inequaliites graphed below, which points could be solutions?
- A
- B
- C
- D
- E
- F
- G
- H
- I
- J
- Solutions
- Not Solutions
1
Which point correctly shows the amount of hours the employee could work at job A and Job B.
Which point correctly shows the amount of hours the employee could work at job A and Job B.
- A
- B
- C
- D
- E
- F
- G
- Solution
- Not solution
1
How would you describe the solution of a system if ineqaulities?
How would you describe the solution of a system if ineqaulities?