Log in
Sign up for FREE
arrow_back
Library

A4 Test Review- Systems of Equations

star
star
star
star
star
Last updated almost 5 years ago
9 questions
2
2
4
8
9
9
4
4
4
C-level
If you are struggling with any part of this at any point, I made the video below a couple years ago. You may not need all of it, but it covers Graphing, Equal Values Method (though I think I lumped that together with substitution), Substitution, and Elimination (A/B level skill this year).
Question 1
1.

Question 2
2.

Question 3
3.

Write a system of equations to represent this situation.

Bruce has $5 and is saving $10 every week. Natasha has $200 and is spending $10 every week. When will they have the same amount of money?

Don't solve the system, just write the equations.

To type your equations in, type the first equation with no spaces, then a comma, then a space, then type your second equation.

Question 4
4.

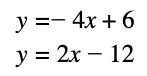
Find the solution to the system of equations by graphing on the "show your work" section.


Don't forget to type your answer in the blank.

Question 5
5.

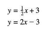
Solve the system of equations below algebraically.


You will only receive full credit if all your steps are showing and your answer is in (x,y) form. You may do your work on paper, take a picture, and post it here if you prefer. Don't forget to type your answer in the blank.

Question 6
6.

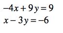
Solve the system of equations algebraically.


You will only receive full credit if all your steps are showing and your answer is in (x,y) form. You may do your work on paper, take a picture, and post it here if you prefer. Don't forget to type your answer in the blank.

A/B Level
Be aware that the A/B level may include something that is an extension of something you have learned. It may not look just like this.
Question 7
7.

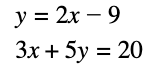
Solve the system of equations algebraically.


You will only receive full credit if all your steps are showing and your answer is in (x,y) form. You may do your work on paper, take a picture, and post it here if you prefer. Don't forget to type your answer in the blank.

Question 8
8.

Create a system of equations that has a solution of (2,3).

Question 9
9.

How do you know if a system of equations will have no solution or infinite solutions?

The solution to a system of equations
Can be found by graphing and finding the point of intersection.
Can be found by solving each equation for the same variable and setting the expressions equal to each other.
Can be found by substituting an expression for the variable it is set equal to.
All of the above.
What is the solution to this system of equations?

(0,-6)
(0,2)
(-6,-4)
None of these.
(6,4)