Unit 1 Test
star
star
star
star
star
Last updated about 5 years ago
10 questions
1
Select the correct answer for #1.
Select the correct answer for #1.
1
Select the correct answer for #2.
Select the correct answer for #2.
1
Select the correct answer for #3.
Select the correct answer for #3.
1
Select the correct answer for #4.
Select the correct answer for #4.
2
Write the exponential form for #6 and #7.
Write the exponential form for #6 and #7.
2
Write the value of #8 and #9.
Write the value of #8 and #9.
2
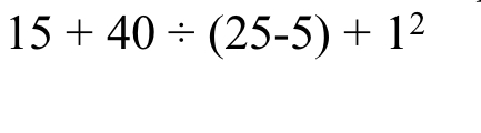
Find the value using the order of operations. ✏️SHOW YOUR WORK.
Find the value using the order of operations. ✏️SHOW YOUR WORK.
2
Find the value using the order of operations. ✏️SHOW YOUR WORK.
Find the value using the order of operations. ✏️SHOW YOUR WORK.
2
Find the value using the order of operations. ✏️SHOW YOUR WORK.
Find the value using the order of operations. ✏️SHOW YOUR WORK.
2
Find the value using the order of operations. ✏️SHOW YOUR WORK.
Find the value using the order of operations. ✏️SHOW YOUR WORK.