Log in
Sign up for FREE
arrow_back
Library

Unit 5 Day 4 Quiz #1Ch 6 Correlation

star
star
star
star
star
Last updated almost 5 years ago
22 questions
4
4
4
4
4
4
4
4
4
4
4
4
4
4
4
4
4
0
4
6
4
4
Question 1
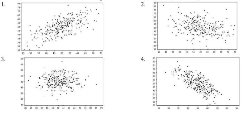
1.

Use the picture of the graphs below:

Which graph shows the strongest negative correlation?

Question 2
2.

Use the picture of the graphs below:

Which graph shows the weakest correlation?

Question 3
3.

Use the picture of the graphs below:

Match the graph number with the corresponding correlation coefficient.

Draggable itemarrow_right_altCorresponding Item
2
arrow_right_alt
arrow_right_alt
arrow_right_alt
arrow_right_alt
arrow_right_alt
Question 4
4.

What does a correlation coefficient measure?

Question 5
5.

Question 6
6.

What type of graph should you check to determine if it is appropriate to find the correlation coefficient for a set of data?

Question 7
7.

Question 8
8.

Question 9
9.

One of the following data sets is more appropriate for finding the correlation coefficient.

1. For which set of data is it more appropriate to calculate the correlation coefficient?
2. Explain why.

Question 10
10.

One of the following data sets is MORE appropriate for finding the correlation coefficient.

For the data set in which it IS APPROPRIATE to calculate and interpret the correlatin coefficient, do the calculation and enter the value below.
Round your answer to three places past the decimal.

Question 11
11.

Highschool Students: Below are the heights and weights for highschool male Stat students used to evaluate the association between height and weight.
n=15

Clear lists 1 & 2 (hover cursor over the list name, 'clear' 'enter').
Enter the data into L1 & L2.
Before you create the plot, which variable will you use for the explanatory variable?
Why?

Question 12
12.

Highschool Students: Below are the heights and weights for highschool male Stat students used to evaluate the association between height and weight.


Clear lists 1 & 2 (hover cursor over the list name, 'clear' 'enter').
Enter the data into L1 & L2.
Before you create the plot, Which variable will you use for the response variable?
Why

Question 13
13.

Highschool Students: Below are the heights and weights for highschool male Stat students used to evaluate the association between height and weight.



Your data is in L1 and L2, create the plot, sketch it in the 'show your work' section.
Be sure to label the x and y axis.
Use the thick line tool to enter the dots.

Question 14
14.

Highschool Students: Below are the heights and weights for highschool male Stat students used to evaluate the association between height and weight.


Your data is in L1 and L2 and you created the scatter plot.
Is it appropriate to calculate the correlation coefficient?

Question 15
15.

Question 16
16.

Highschool Students: Below are the heights and weights for highschool male Stat students used to evaluate the association between height and weight.


Interpret the relationship between HT and WT:
(As.... increases, ....)

Question 17
17.

Highschool Students: Below are the heights and weights for highschool male Stat students used to evaluate the association between height and weight.


Calculate the correlation coefficient:
Stat, Calc, you select the function we use.
Round to three places past the decimal.

Question 18
18.

Highschool Students: Below are the heights and weights for highschool male Stat students used to evaluate the association between height and weight.


Does your analysis prove that an increase in height causes an increase in weight?
Explain.

Question 19
19.

After conducting a marketing study to see what consumers thought about a new tinted contact lens they were developing, an eyewear company reported:
'Consumer satisfaction is strongly correlated with eye color.'
Comment on this statement, is it correct?
Think about our discussions in class.

Hint: what does a correlation measure?
What are the conditions we check before calculating the correlation coefficient?
Explain below.

Question 20
20.

Use the line color/thickness tool to sketch scatterplots with the given descriptions:

Question 21
21.

Question 22
22.

Researches investigating the association between the size and strength of muscles measured the forearm circumference (in inches) of 20 teenage boys. Then they measured the boys' grip strength (in pounds). The data is shown in the scatterplot:

If the point another point were added in the lower right corner (at about 15", 36 lb), what would happen to the correlation coefficient?

2
3
4

4
0.71
4
-0.39
3
-0.02
1
-0.68

0.96
When deciding if a set of data is appropriate for calculating the correlation coefficient,
what are the three conditions that need to be met?
Straight Enough Condition
Categorical Data Condition
Outlier Condition
Nearly Normal Condition
Quantitative Data Condition
Friendly Data Condition
Scatterplot
Circle graph
Bar graph
Dot plot
Stem plot
Box plot
One of the following data sets is more appropriate for finding the correlation coefficient.

Enter the data into L1 and L2.
Create the appropriate plot.
Describe the association between Age and Height for Group A:
Select three correct answers.
Positive
Negative
No Direction
Linear
Curved
No Form
Weak
Moderate
Strong
One of the following data sets is more appropriate for finding the correlation coefficient.

Enter the data for Set B into L3 and L4, create the appropriate plot.
You will need to change the xlist and ylist, use: '2nd, stat' to select the correct lists for the plot.
Describe the association between Age and Height for Group B:
Select three correct answers.
Positive
Negative
No Direction
Linear
Curved
No Form
Weak
Moderate
Strong
No, there are large outliers.
No, the data is not quantitative.
Highschool Students: Below are the heights and weights for highschool male Stat students used to evaluate the association between height and weight.


Use the scatter plot created in #13, describe the association between HT and WT:
(Use direction, form and strength)
Positive
Negative
No Direction
Linear
Curved
Scattered
Weak
Moderate
Strong
Researches investigating the association between the size and strength of muscles measured the forearm circumference (in inches) of 20 teenage boys. Then they measured the boys' grip strength (in pounds). The data is shown in the scatterplot:

Estimate the correlation coefficient, which value from the list is the most reasonable for the data?
-1.04
-0.52
0.08
0.72
0.95